mp-1094088/NbCoSn/anharm

Harmonic properties

../../_images/fig_bandos_pr16653.png

(a) Phonon dispersion with participation ratio and DOS

../../_images/fig_thermo16652.png

(b) Thermodynamic properties

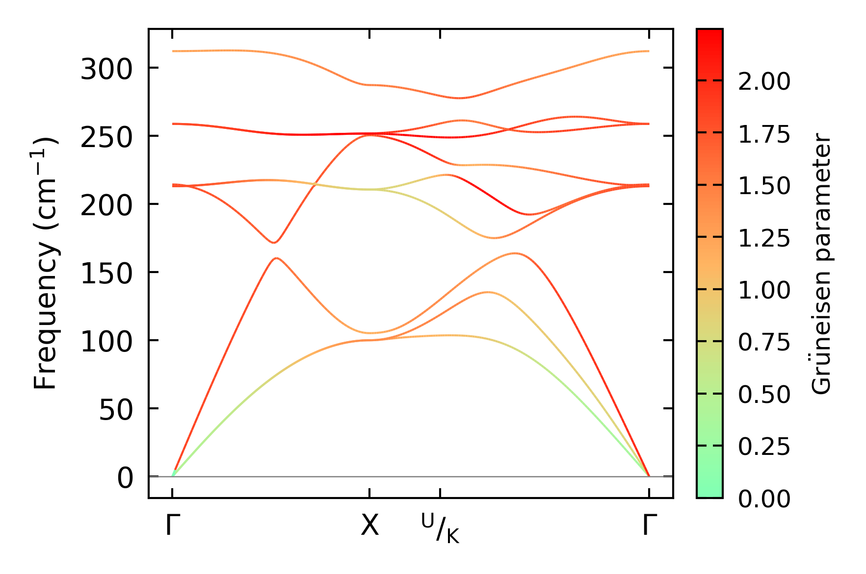
Grüneisen parameters

../../_images/fig_gru_all7235.png

(a) Grüneisen parameters

../../_images/fig_gruneisen7235.png

(b) Phonon dispersion with Grüneisen parameters

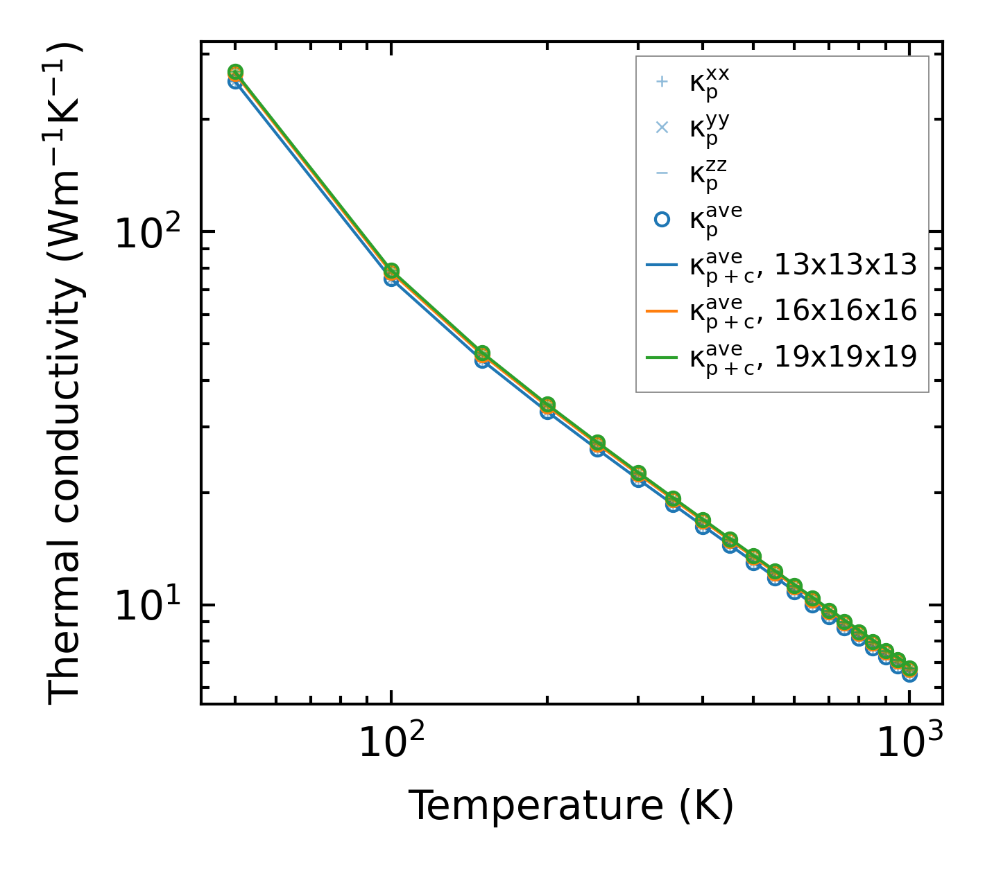
Thermal conductivity

3-phonon — q-mesh: 19x19x19, supercell: 2x2x2

../../_images/fig_kappa13641.png

(a) Temperature-dependent lattice thermal conductivity

../../_images/fig_kappa_vs_grain_size7321.png

(b) Peierls lattice thermal conductivity w.r.t grain size

Phonon lifetime and scattering rates

../../_images/fig_lifetime7169.png

(a) Phonon lifetime due to phonon-phonon scattering

../../_images/fig_scat_rates7168.png

(b) Phonon scattering rates

Cumulative and spectral thermal conductivity

../../_images/fig_cumu_frequency7169.png

(a) Spectral and cumulative thermal conductivity w.r.t frequency

../../_images/fig_cumu_mfp7168.png

(b) Spectral and cumulative thermal conductivity w.r.t MFP

Force constants

../../_images/fig_fc3430.png

(a) Force constants w.r.t atomic distance

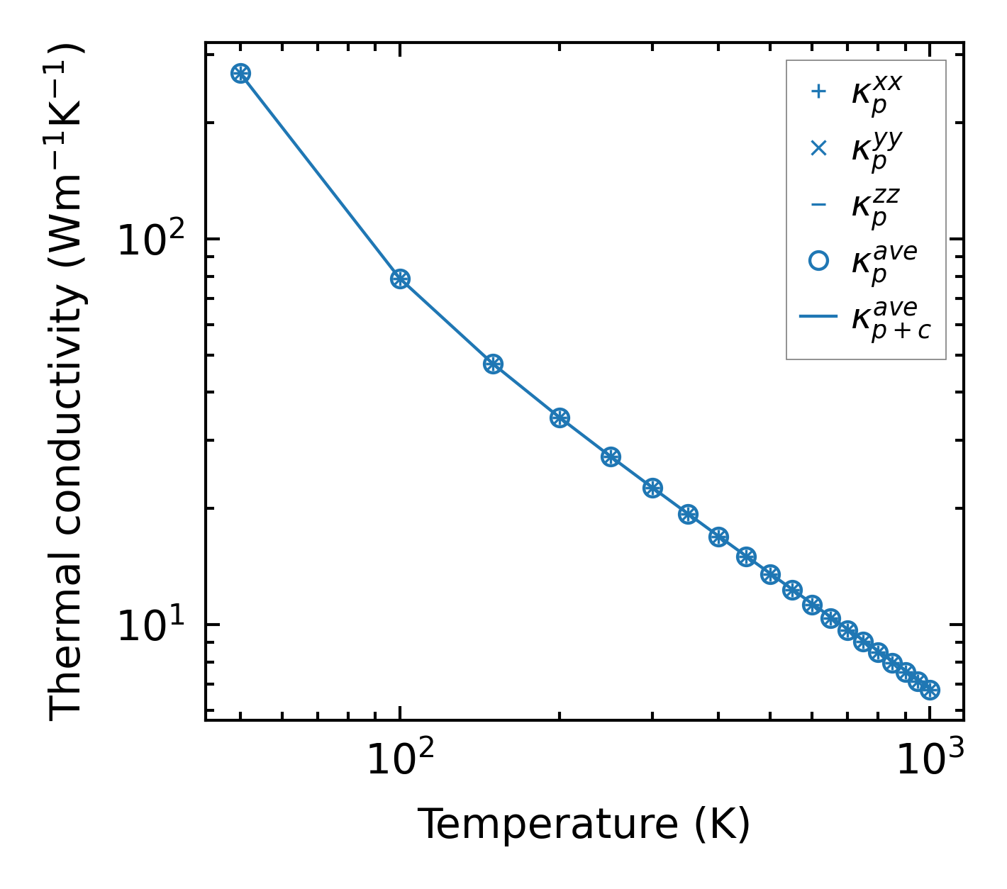
Summary

../../_images/fig_kappa13642.png

(a) Temperature-dependent lattice thermal conductivity

../../_images/fig_times27223.png

(b) Computation time