mp-1087532/CsLuS2/anharm

Harmonic properties

../../_images/fig_bandos_pr17009.png

(a) Phonon dispersion with participation ratio and DOS

../../_images/fig_thermo17008.png

(b) Thermodynamic properties

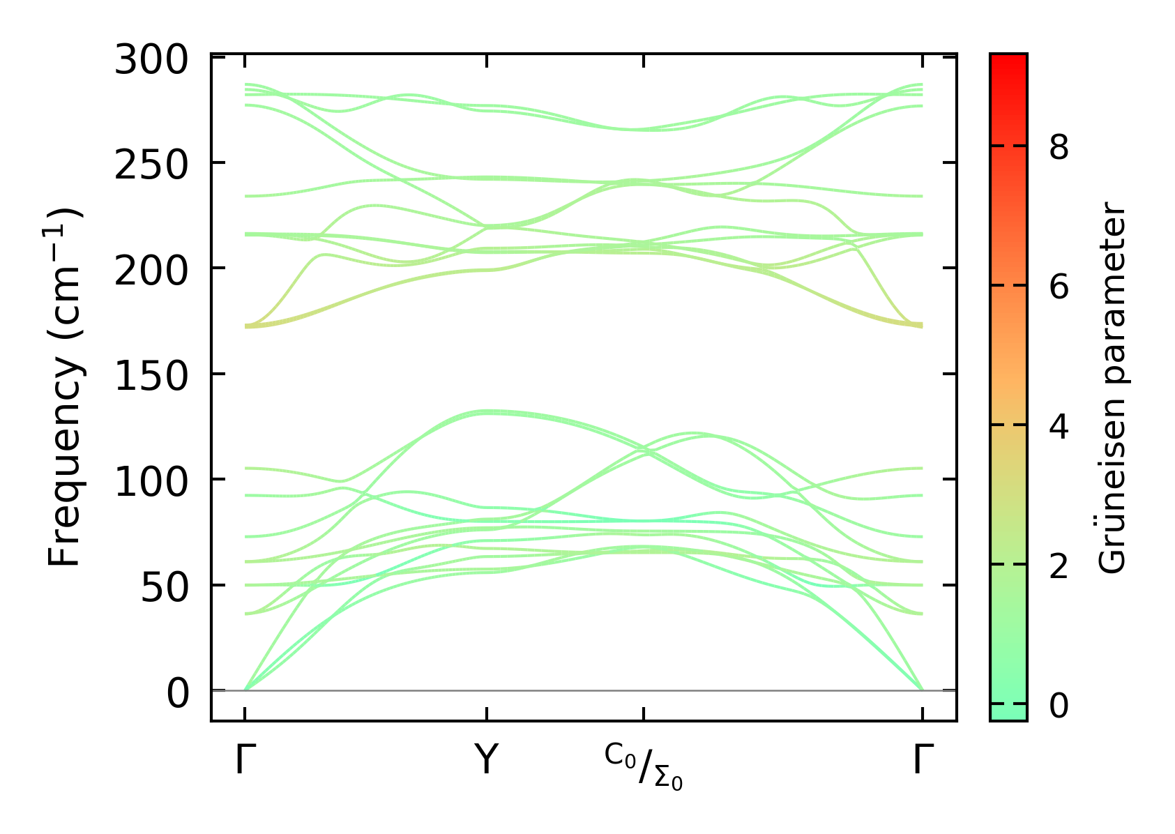
Grüneisen parameters

../../_images/fig_gru_all7453.png

(a) Grüneisen parameters

../../_images/fig_gruneisen7453.png

(b) Phonon dispersion with Grüneisen parameters

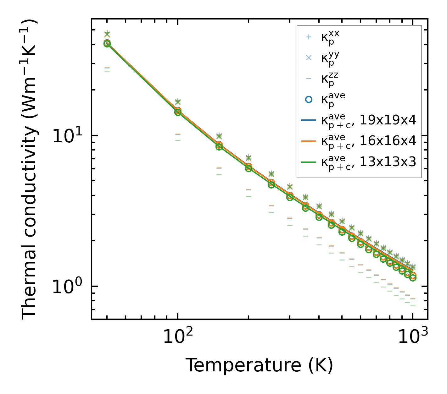
Thermal conductivity

3-phonon (LASSO) — q-mesh: 19x19x4, supercell: 4x2x1

../../_images/fig_kappa14057.png

(a) Temperature-dependent lattice thermal conductivity

../../_images/fig_kappa_vs_grain_size7541.png

(b) Peierls lattice thermal conductivity w.r.t grain size

Phonon lifetime and scattering rates

../../_images/fig_lifetime7386.png

(a) Phonon lifetime due to phonon-phonon scattering

../../_images/fig_scat_rates7385.png

(b) Phonon scattering rates

Cumulative and spectral thermal conductivity

../../_images/fig_cumu_frequency7386.png

(a) Spectral and cumulative thermal conductivity w.r.t frequency

../../_images/fig_cumu_mfp7385.png

(b) Spectral and cumulative thermal conductivity w.r.t MFP

Force constants

../../_images/fig_fc216561.png

(a) Force constants w.r.t atomic distance

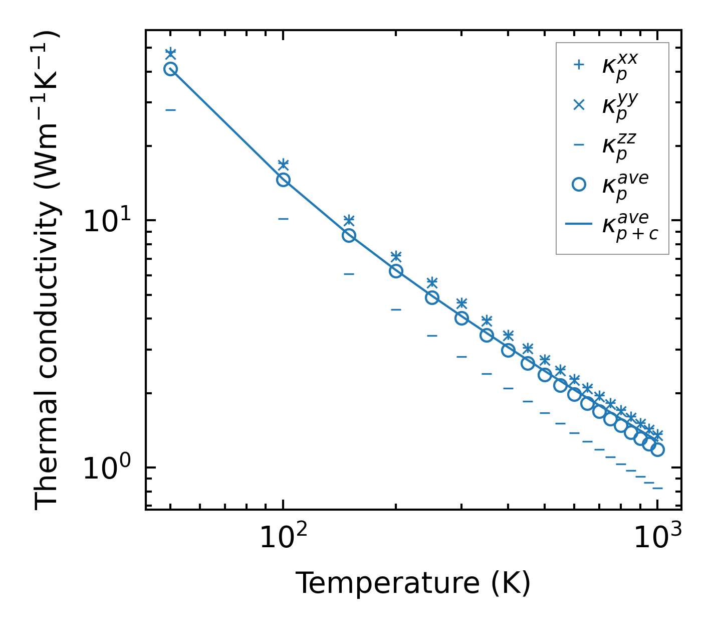
Summary

../../_images/fig_kappa14058.png

(a) Temperature-dependent lattice thermal conductivity

../../_images/fig_times27716.png

(b) Computation time