mp-1077316/CO2/anharm

Equation of state

../../_images/fig_bm7792.png

(a) Equation of state

Harmonic properties

../../_images/fig_bandos_pr16837.png

(a) Phonon dispersion with participation ratio and DOS

../../_images/fig_bandos21158.png

(b) Phonon dispersion and DOS

../../_images/fig_thermo16836.png

(c) Thermodynamic properties

Grüneisen parameters

../../_images/fig_gru_all7359.png

(a) Grüneisen parameters

../../_images/fig_gruneisen7359.png

(b) Phonon dispersion with Grüneisen parameters

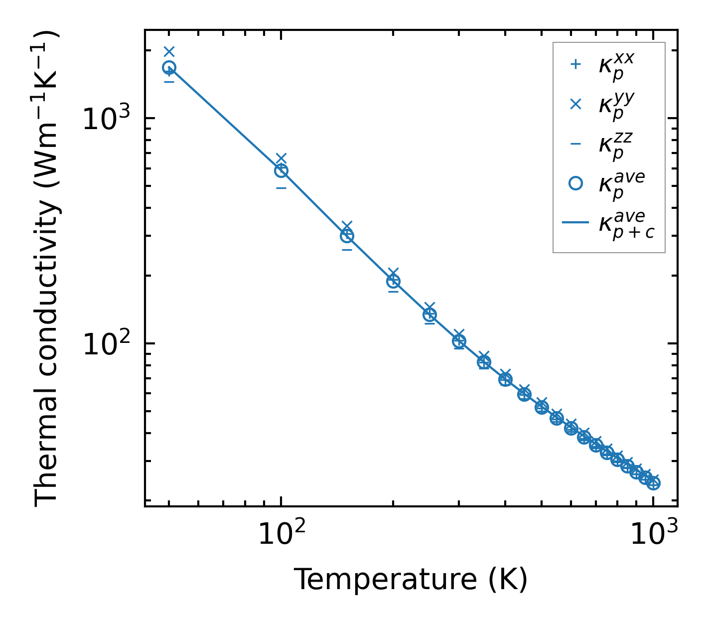
Thermal conductivity

3-phonon (LASSO), supercell 3x3x2 — q-mesh: 20x20x20, supercell: 3x3x2

../../_images/fig_kappa13882.png

(a) Temperature-dependent lattice thermal conductivity

../../_images/fig_kappa_vs_grain_size7447.png

(b) Peierls lattice thermal conductivity w.r.t grain size

Phonon lifetime and scattering rates

../../_images/fig_lifetime7293.png

(a) Phonon lifetime due to phonon-phonon scattering

../../_images/fig_scat_rates7292.png

(b) Phonon scattering rates

Cumulative and spectral thermal conductivity

../../_images/fig_cumu_frequency7293.png

(a) Spectral and cumulative thermal conductivity w.r.t frequency

../../_images/fig_cumu_mfp7292.png

(b) Spectral and cumulative thermal conductivity w.r.t MFP

Force constants

../../_images/fig_fc216392.png

(a) Force constants w.r.t atomic distance

Summary

../../_images/fig_times27476.png

(a) Computation time