mp-1077232/WN2/anharm

Harmonic properties

../../_images/fig_bandos_pr16836.png

(a) Phonon dispersion with participation ratio and DOS

../../_images/fig_thermo16835.png

(b) Thermodynamic properties

Grüneisen parameters

../../_images/fig_gru_all7358.png

(a) Grüneisen parameters

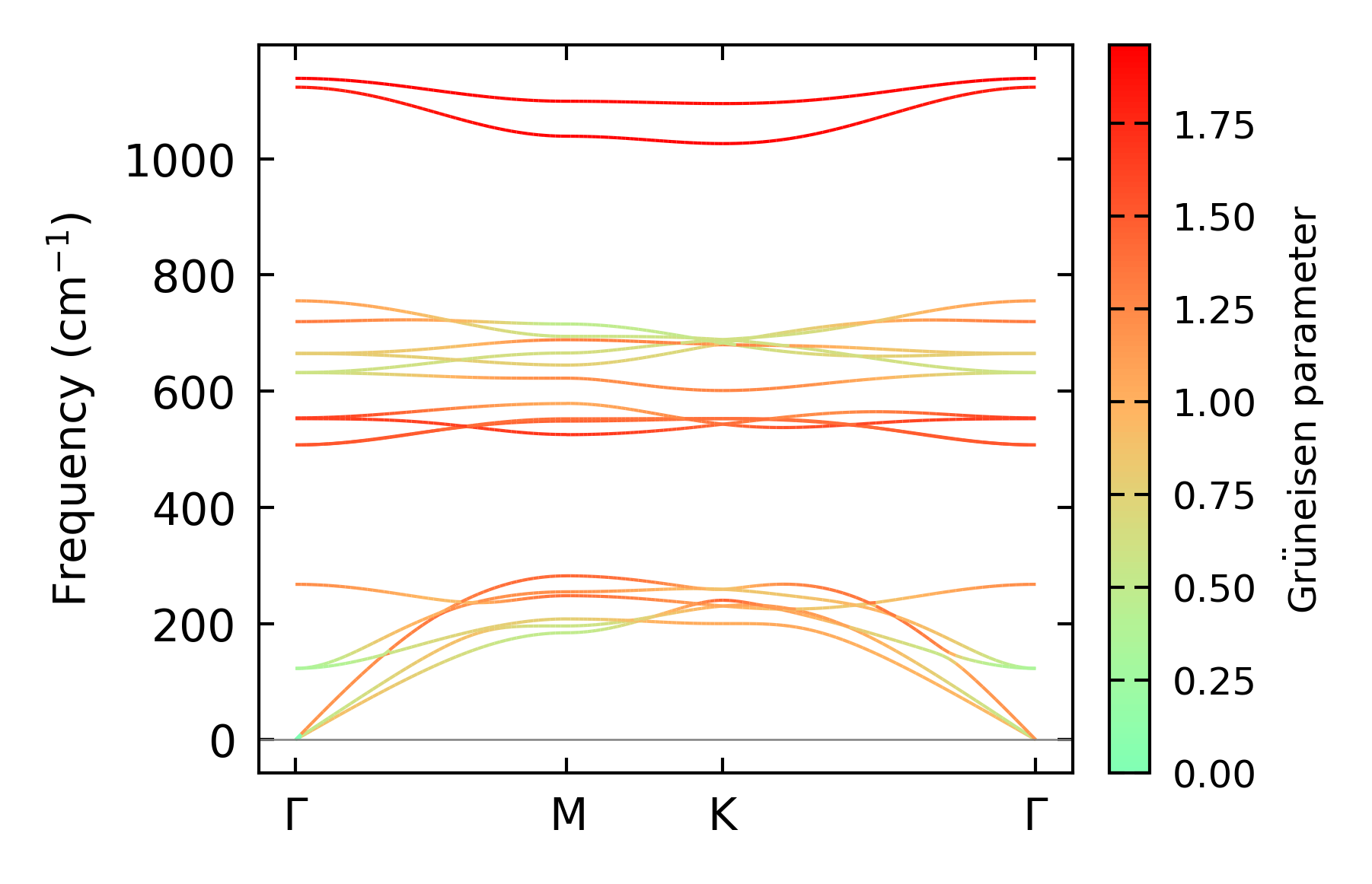
../../_images/fig_gruneisen7358.png

(b) Phonon dispersion with Grüneisen parameters

Thermal conductivity

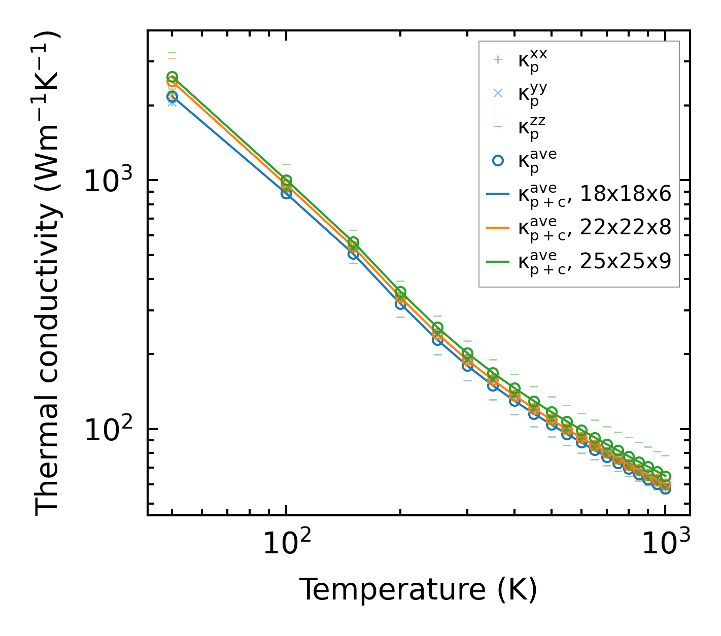
3-phonon (LASSO) — q-mesh: 25x25x9, supercell: 3x3x2

../../_images/fig_kappa13880.png

(a) Temperature-dependent lattice thermal conductivity

../../_images/fig_kappa_vs_grain_size7446.png

(b) Peierls lattice thermal conductivity w.r.t grain size

Phonon lifetime and scattering rates

../../_images/fig_lifetime7292.png

(a) Phonon lifetime due to phonon-phonon scattering

../../_images/fig_scat_rates7291.png

(b) Phonon scattering rates

Cumulative and spectral thermal conductivity

../../_images/fig_cumu_frequency7292.png

(a) Spectral and cumulative thermal conductivity w.r.t frequency

../../_images/fig_cumu_mfp7291.png

(b) Spectral and cumulative thermal conductivity w.r.t MFP

Force constants

../../_images/fig_fc216391.png

(a) Force constants w.r.t atomic distance

Summary

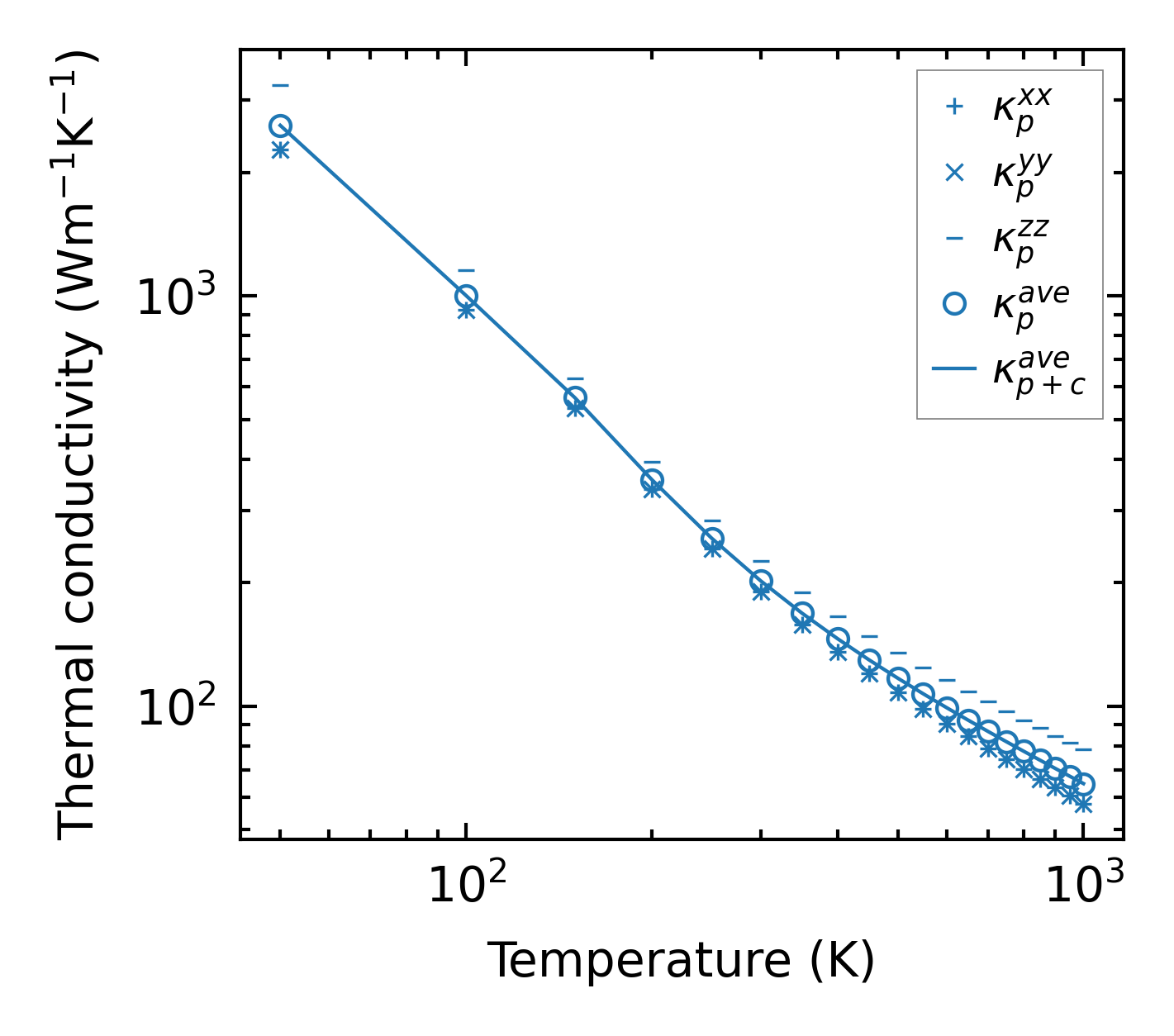
../../_images/fig_kappa13881.png

(a) Temperature-dependent lattice thermal conductivity

../../_images/fig_times27475.png

(b) Computation time