mp-1067744/YTlSe2/anharm

Harmonic properties

../../_images/fig_bandos_pr17121.png

(a) Phonon dispersion with participation ratio and DOS

../../_images/fig_thermo17120.png

(b) Thermodynamic properties

Grüneisen parameters

../../_images/fig_gru_all7481.png

(a) Grüneisen parameters

../../_images/fig_gruneisen7481.png

(b) Phonon dispersion with Grüneisen parameters

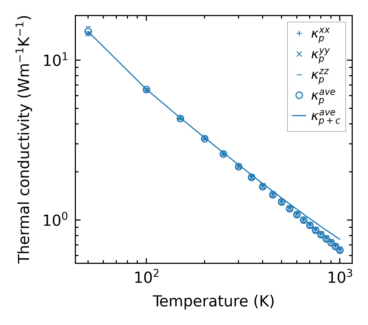
Thermal conductivity

3-phonon (LASSO) — q-mesh: 14x14x14, supercell: 3x3x1

../../_images/fig_kappa14114.png

(a) Temperature-dependent lattice thermal conductivity

../../_images/fig_kappa_vs_grain_size7571.png

(b) Peierls lattice thermal conductivity w.r.t grain size

Phonon lifetime and scattering rates

../../_images/fig_lifetime7414.png

(a) Phonon lifetime due to phonon-phonon scattering

../../_images/fig_scat_rates7413.png

(b) Phonon scattering rates

Cumulative and spectral thermal conductivity

../../_images/fig_cumu_frequency7414.png

(a) Spectral and cumulative thermal conductivity w.r.t frequency

../../_images/fig_cumu_mfp7413.png

(b) Spectral and cumulative thermal conductivity w.r.t MFP

Force constants

../../_images/fig_fc216666.png

(a) Force constants w.r.t atomic distance

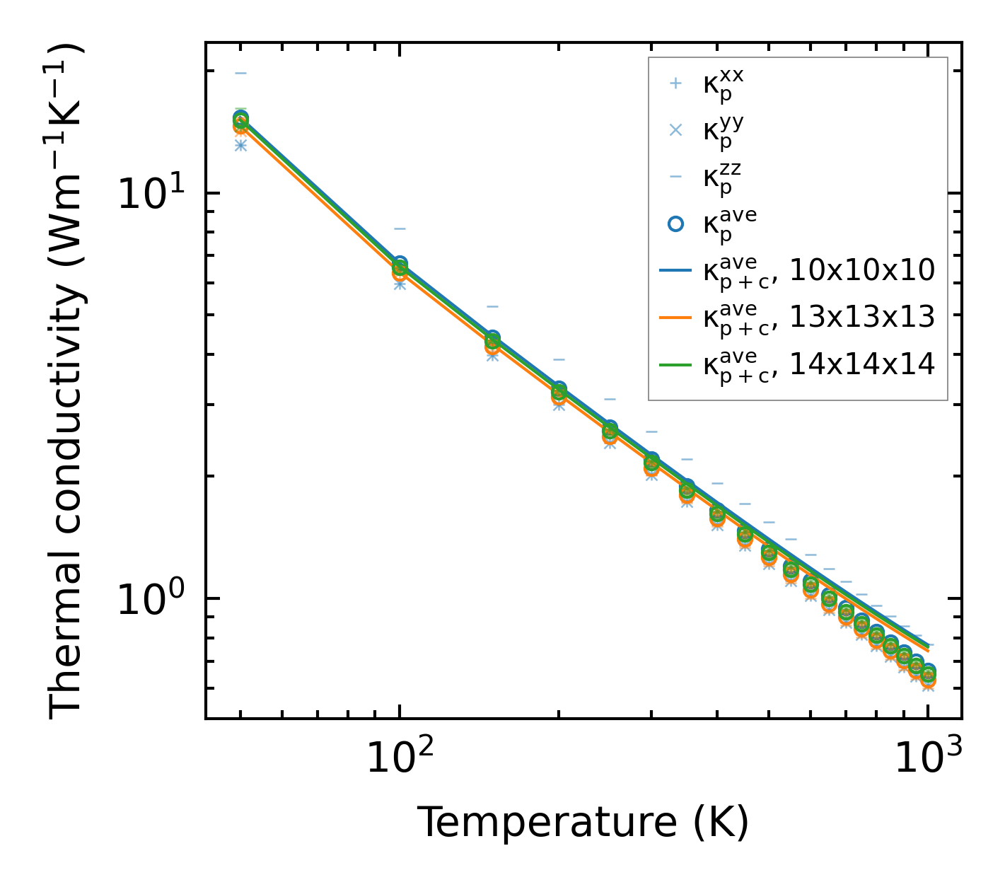
Summary

../../_images/fig_kappa14115.png

(a) Temperature-dependent lattice thermal conductivity

../../_images/fig_times27938.png

(b) Computation time