mp-1067587/TaP/anharm

Harmonic properties

../../_images/fig_bandos_pr17120.png

(a) Phonon dispersion with participation ratio and DOS

../../_images/fig_thermo17119.png

(b) Thermodynamic properties

Grüneisen parameters

../../_images/fig_gru_all7480.png

(a) Grüneisen parameters

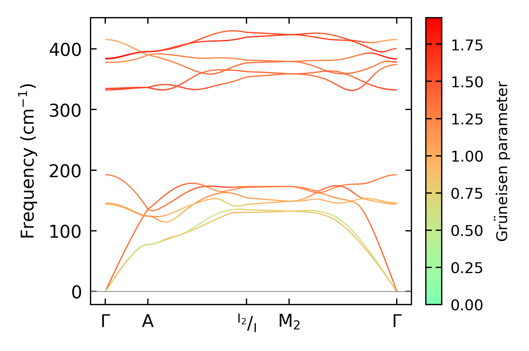
../../_images/fig_gruneisen7480.png

(b) Phonon dispersion with Grüneisen parameters

Thermal conductivity

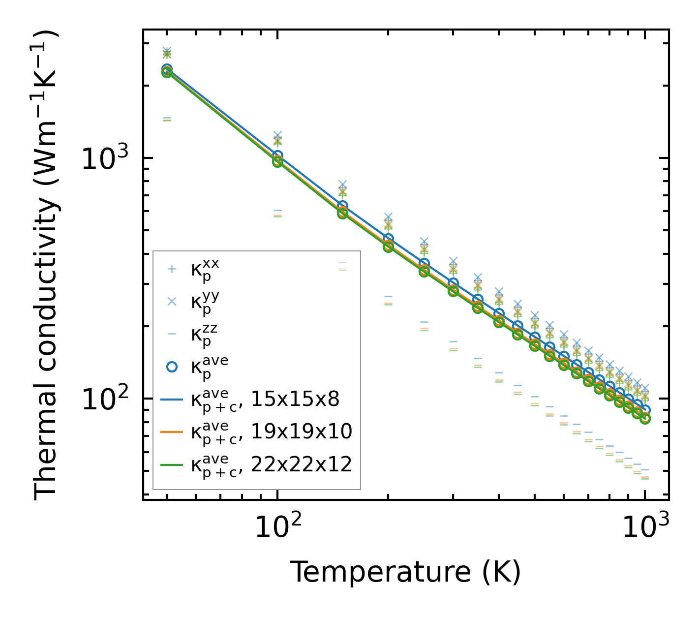
3-phonon (LASSO) — q-mesh: 22x22x12, supercell: 3x3x2

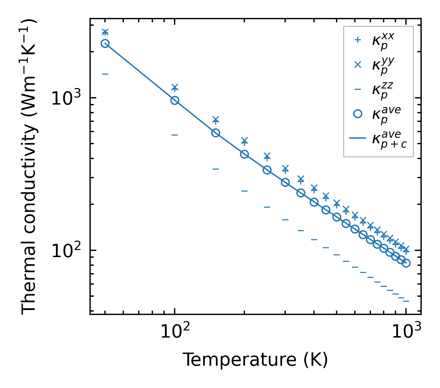
../../_images/fig_kappa14112.png

(a) Temperature-dependent lattice thermal conductivity

../../_images/fig_kappa_vs_grain_size7570.png

(b) Peierls lattice thermal conductivity w.r.t grain size

Phonon lifetime and scattering rates

../../_images/fig_lifetime7413.png

(a) Phonon lifetime due to phonon-phonon scattering

../../_images/fig_scat_rates7412.png

(b) Phonon scattering rates

Cumulative and spectral thermal conductivity

../../_images/fig_cumu_frequency7413.png

(a) Spectral and cumulative thermal conductivity w.r.t frequency

../../_images/fig_cumu_mfp7412.png

(b) Spectral and cumulative thermal conductivity w.r.t MFP

Force constants

../../_images/fig_fc216665.png

(a) Force constants w.r.t atomic distance

Summary

../../_images/fig_kappa14113.png

(a) Temperature-dependent lattice thermal conductivity

../../_images/fig_times27937.png

(b) Computation time