mp-1065514/YTlTe2/anharm

Harmonic properties

../../_images/fig_bandos_pr17116.png

(a) Phonon dispersion with participation ratio and DOS

../../_images/fig_thermo17115.png

(b) Thermodynamic properties

Grüneisen parameters

../../_images/fig_gru_all7477.png

(a) Grüneisen parameters

../../_images/fig_gruneisen7477.png

(b) Phonon dispersion with Grüneisen parameters

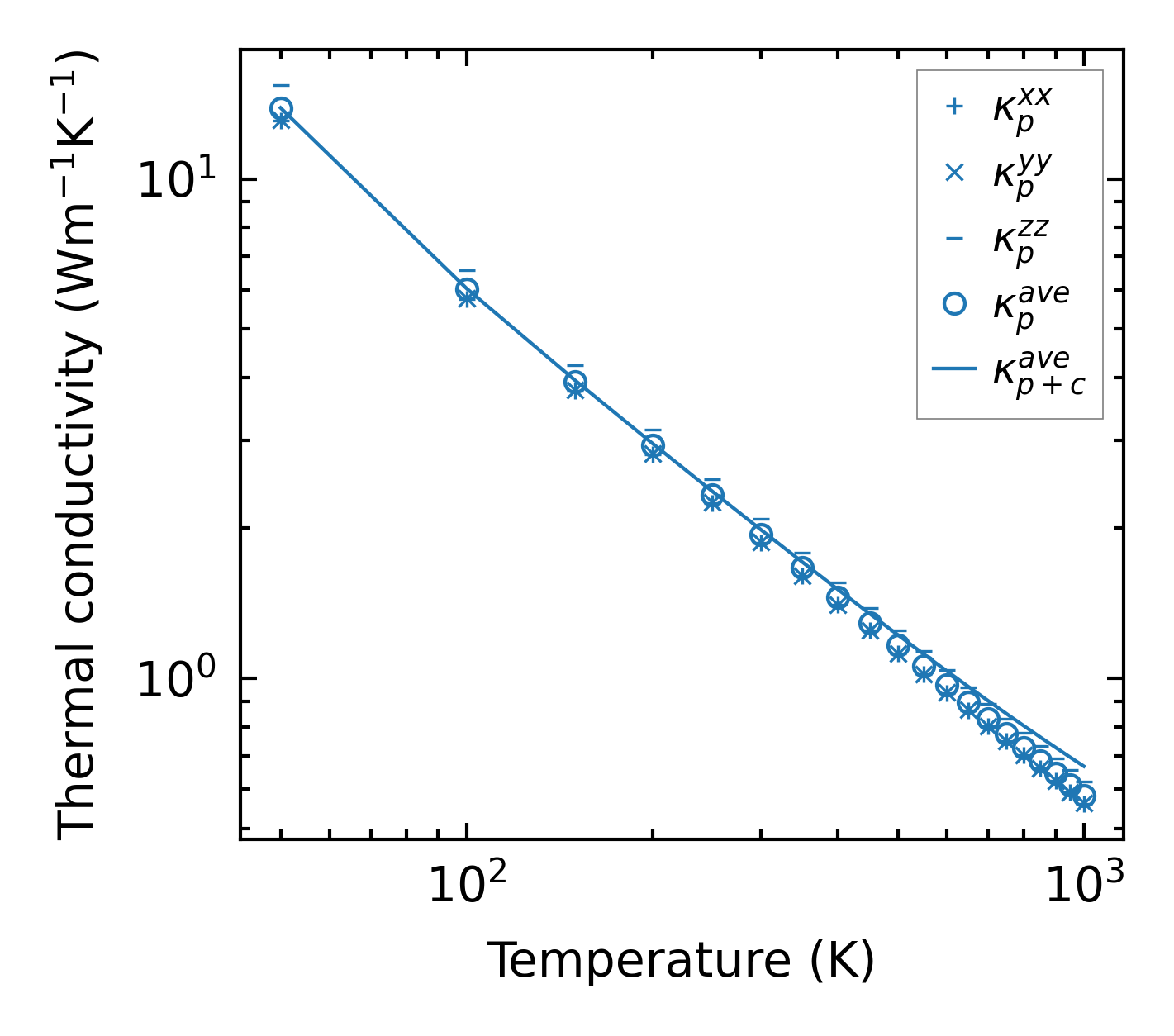
Thermal conductivity

3-phonon — q-mesh: 14x14x14, supercell: 3x3x1

../../_images/fig_kappa14106.png

(a) Temperature-dependent lattice thermal conductivity

../../_images/fig_kappa_vs_grain_size7567.png

(b) Peierls lattice thermal conductivity w.r.t grain size

Phonon lifetime and scattering rates

../../_images/fig_lifetime7410.png

(a) Phonon lifetime due to phonon-phonon scattering

../../_images/fig_scat_rates7409.png

(b) Phonon scattering rates

Cumulative and spectral thermal conductivity

../../_images/fig_cumu_frequency7410.png

(a) Spectral and cumulative thermal conductivity w.r.t frequency

../../_images/fig_cumu_mfp7409.png

(b) Spectral and cumulative thermal conductivity w.r.t MFP

Force constants

../../_images/fig_fc3455.png

(a) Force constants w.r.t atomic distance

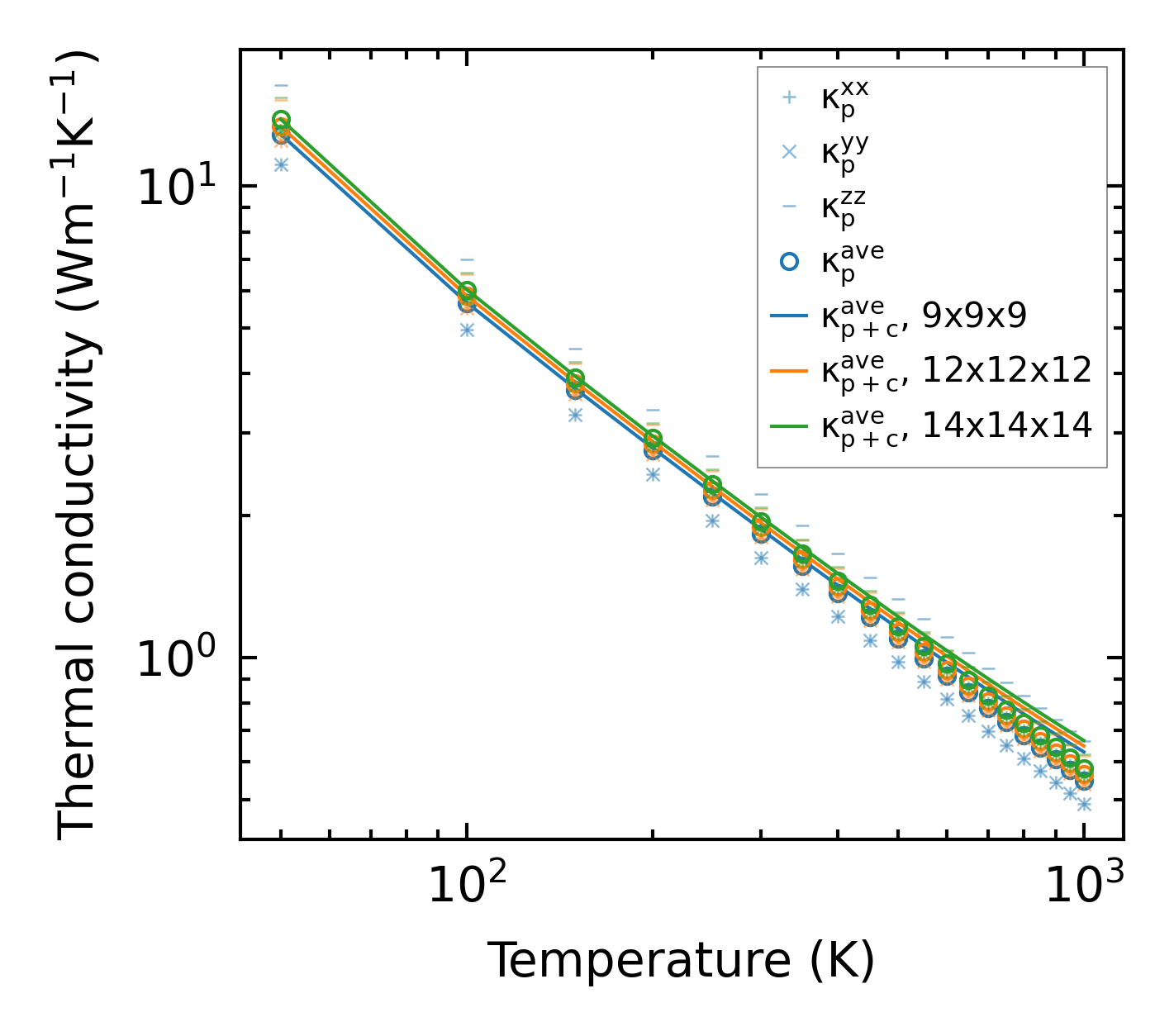
Summary

../../_images/fig_kappa14107.png

(a) Temperature-dependent lattice thermal conductivity

../../_images/fig_times27933.png

(b) Computation time