mp-1065405-3/CsAuC2/anharm

Equation of state

../../_images/fig_bm7814.png

(a) Equation of state

Harmonic properties

../../_images/fig_bandos_pr17115.png

(a) Phonon dispersion with participation ratio and DOS

../../_images/fig_bandos21516.png

(b) Phonon dispersion and DOS

../../_images/fig_thermo17114.png

(c) Thermodynamic properties

Grüneisen parameters

../../_images/fig_gru_all7476.png

(a) Grüneisen parameters

../../_images/fig_gruneisen7476.png

(b) Phonon dispersion with Grüneisen parameters

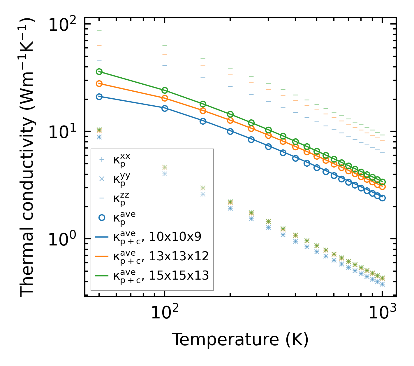
Thermal conductivity

3-phonon — q-mesh: 15x15x13, supercell: 3x3x3

../../_images/fig_kappa14103.png

(a) Temperature-dependent lattice thermal conductivity

../../_images/fig_kappa_vs_grain_size7565.png

(b) Peierls lattice thermal conductivity w.r.t grain size

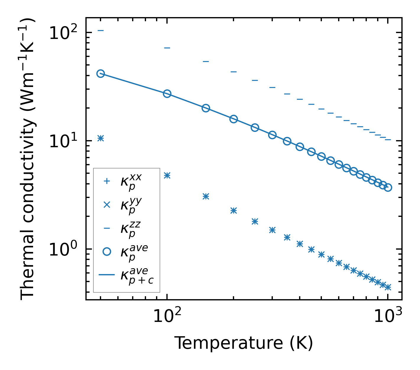
3-phonon, supercell 4x4x3 — q-mesh: 15x15x13, supercell: 4x4x3

../../_images/fig_kappa14104.png

(a) Temperature-dependent lattice thermal conductivity

../../_images/fig_kappa_vs_grain_size7566.png

(b) Peierls lattice thermal conductivity w.r.t grain size

Phonon lifetime and scattering rates

../../_images/fig_lifetime7409.png

(a) Phonon lifetime due to phonon-phonon scattering

../../_images/fig_scat_rates7408.png

(b) Phonon scattering rates

Cumulative and spectral thermal conductivity

../../_images/fig_cumu_frequency7409.png

(a) Spectral and cumulative thermal conductivity w.r.t frequency

../../_images/fig_cumu_mfp7408.png

(b) Spectral and cumulative thermal conductivity w.r.t MFP

Force constants

../../_images/fig_fc3454.png

(a) Force constants w.r.t atomic distance

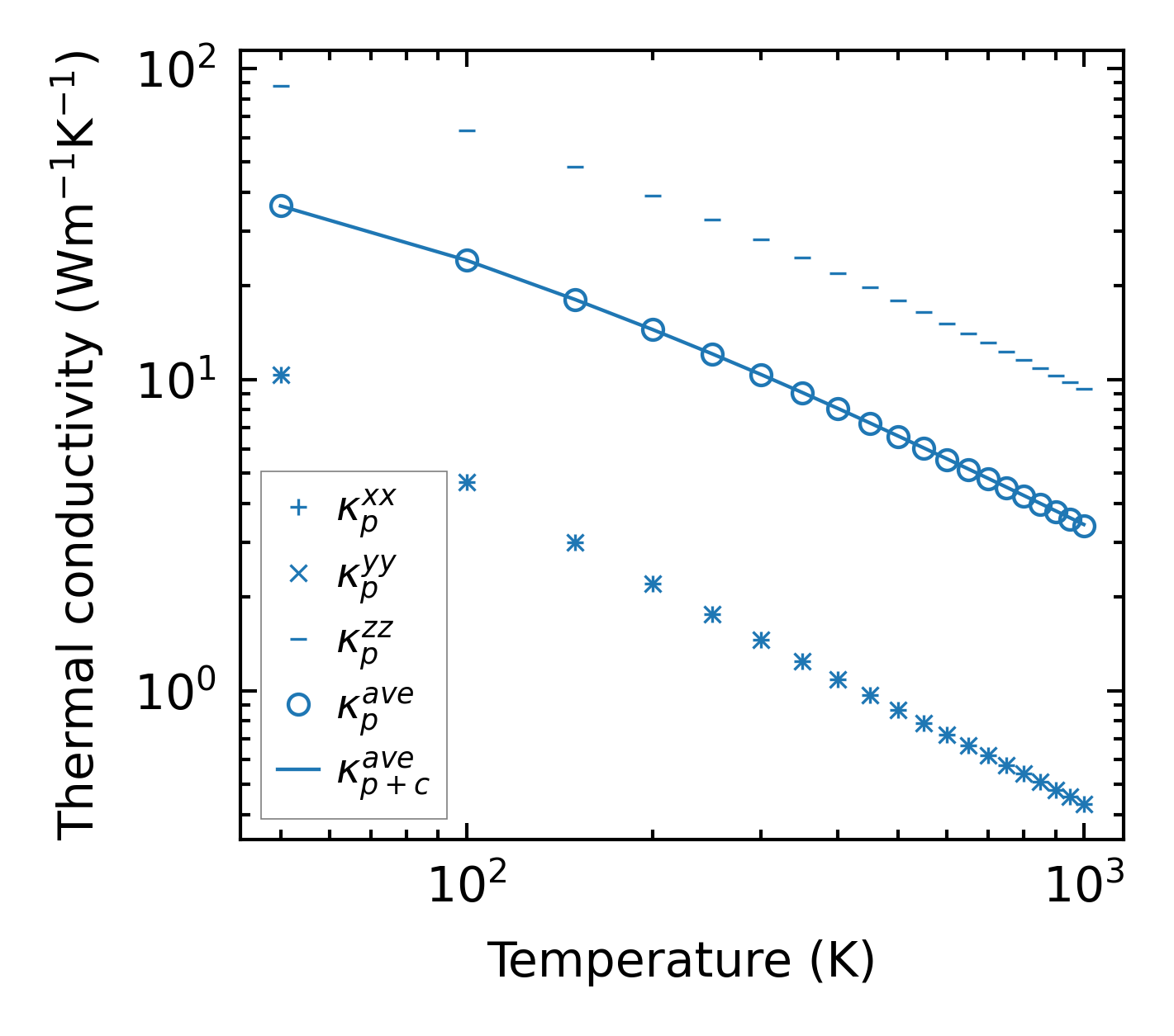
Summary

../../_images/fig_kappa14105.png

(a) Temperature-dependent lattice thermal conductivity

../../_images/fig_times27932.png

(b) Computation time