mp-1041631/MgCu2O4/anharm

Harmonic properties

../../_images/fig_bandos_pr17203.png

(a) Phonon dispersion with participation ratio and DOS

../../_images/fig_thermo17202.png

(b) Thermodynamic properties

Grüneisen parameters

../../_images/fig_gru_all7537.png

(a) Grüneisen parameters

../../_images/fig_gruneisen7537.png

(b) Phonon dispersion with Grüneisen parameters

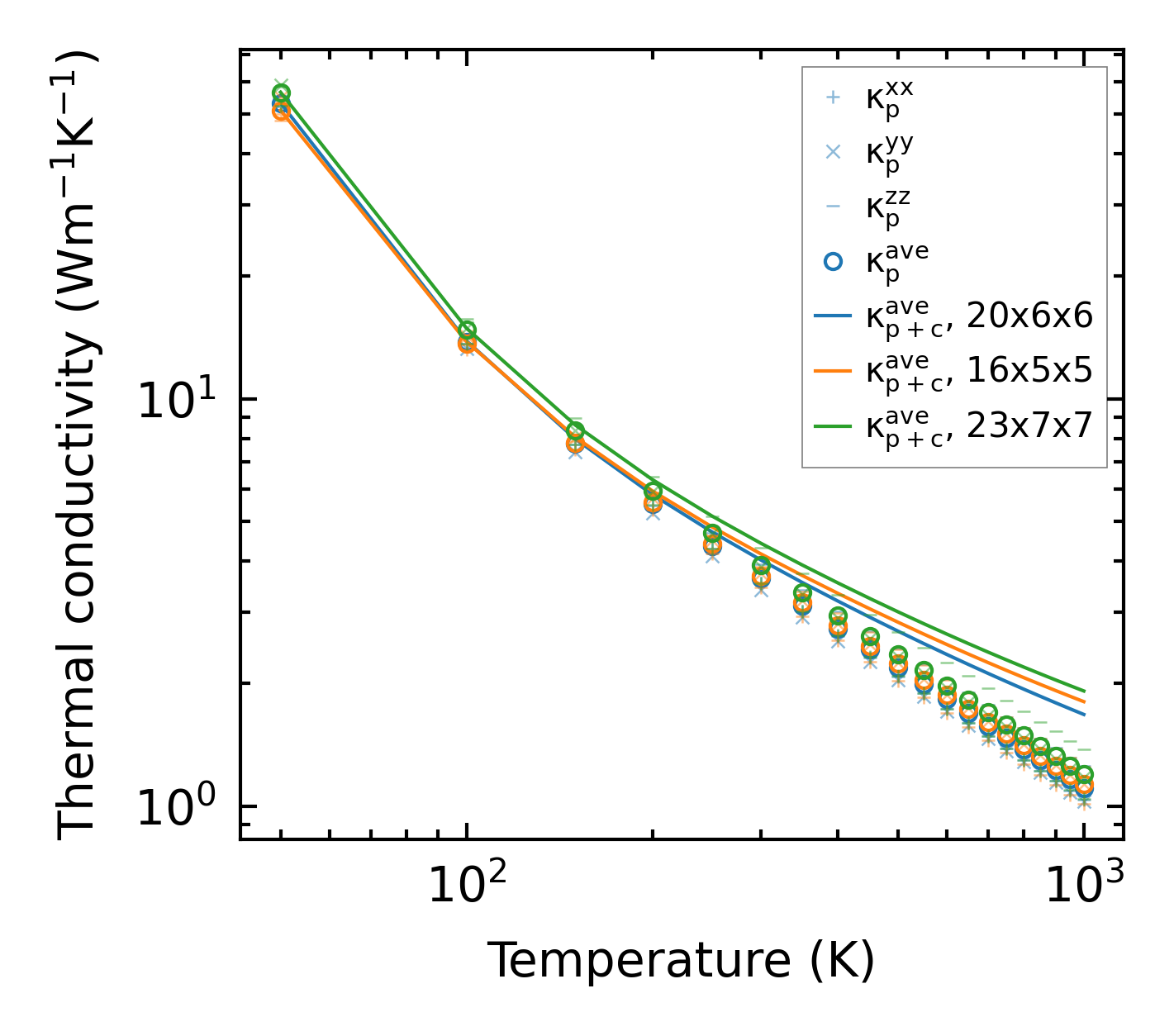
Thermal conductivity

3-phonon (LASSO) — q-mesh: 23x7x7, supercell: 3x1x1

../../_images/fig_kappa14217.png

(a) Temperature-dependent lattice thermal conductivity

../../_images/fig_kappa_vs_grain_size7626.png

(b) Peierls lattice thermal conductivity w.r.t grain size

Phonon lifetime and scattering rates

../../_images/fig_lifetime7469.png

(a) Phonon lifetime due to phonon-phonon scattering

../../_images/fig_scat_rates7468.png

(b) Phonon scattering rates

Cumulative and spectral thermal conductivity

../../_images/fig_cumu_frequency7469.png

(a) Spectral and cumulative thermal conductivity w.r.t frequency

../../_images/fig_cumu_mfp7468.png

(b) Spectral and cumulative thermal conductivity w.r.t MFP

Force constants

../../_images/fig_fc216744.png

(a) Force constants w.r.t atomic distance

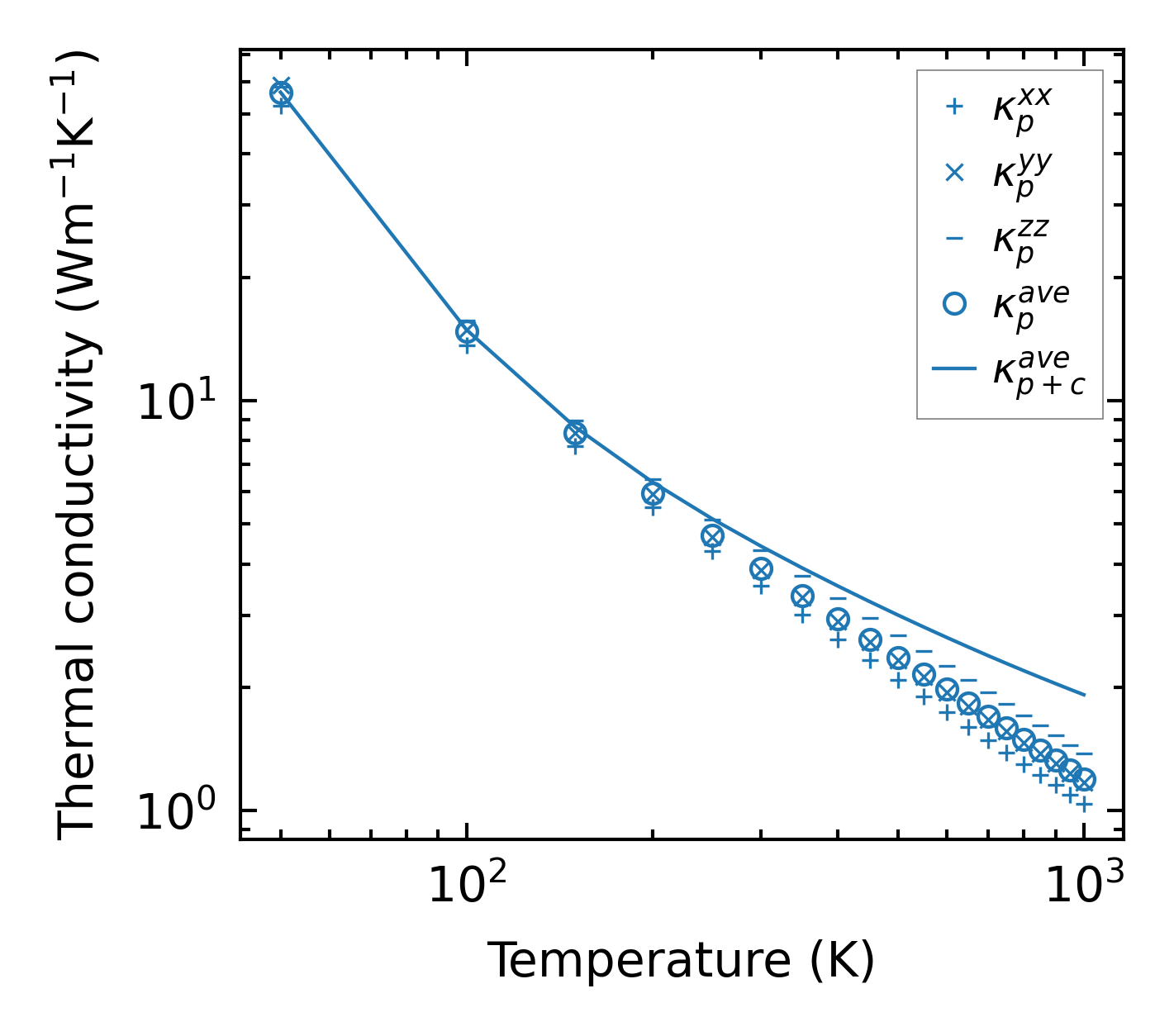
Summary

../../_images/fig_kappa14218.png

(a) Temperature-dependent lattice thermal conductivity

../../_images/fig_times28118.png

(b) Computation time