mp-1040989/CaTi2Cu2O8/anharm

Harmonic properties

../../_images/fig_bandos_pr17196.png

(a) Phonon dispersion with participation ratio and DOS

../../_images/fig_thermo17195.png

(b) Thermodynamic properties

Grüneisen parameters

../../_images/fig_gru_all7535.png

(a) Grüneisen parameters

../../_images/fig_gruneisen7535.png

(b) Phonon dispersion with Grüneisen parameters

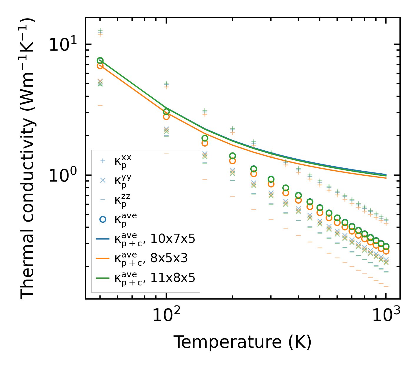
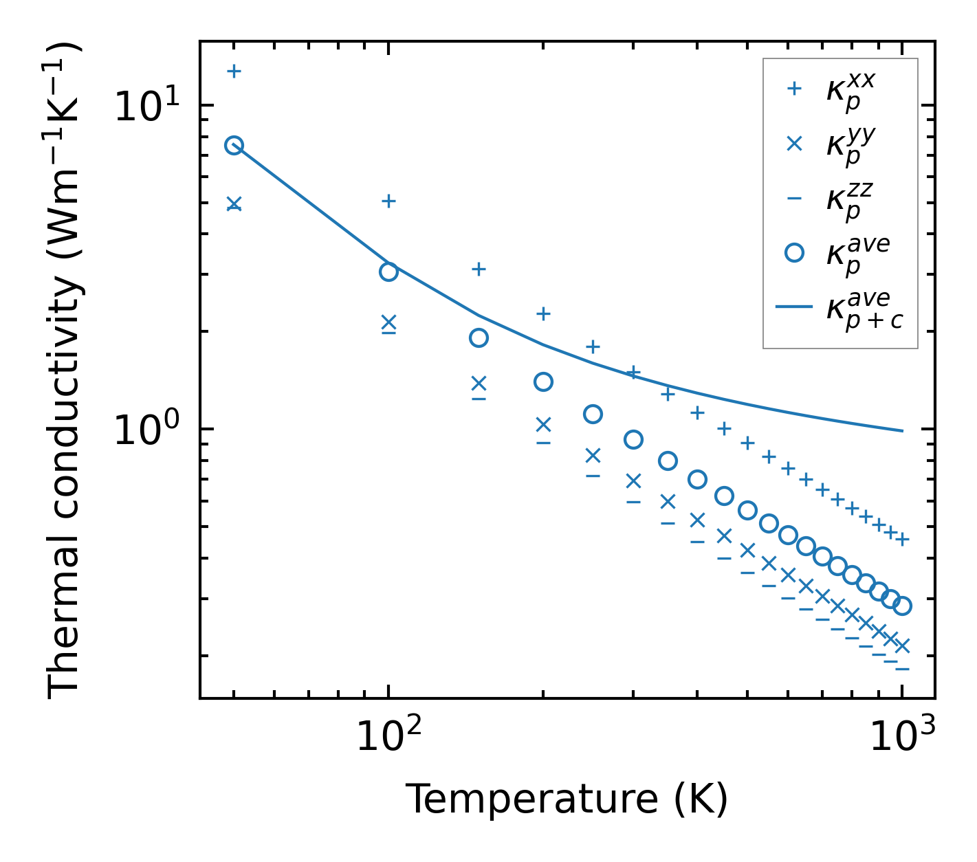
Thermal conductivity

3-phonon (LASSO) — q-mesh: 11x8x5, supercell: 2x1x1

../../_images/fig_kappa14213.png

(a) Temperature-dependent lattice thermal conductivity

../../_images/fig_kappa_vs_grain_size7624.png

(b) Peierls lattice thermal conductivity w.r.t grain size

Phonon lifetime and scattering rates

../../_images/fig_lifetime7467.png

(a) Phonon lifetime due to phonon-phonon scattering

../../_images/fig_scat_rates7466.png

(b) Phonon scattering rates

Cumulative and spectral thermal conductivity

../../_images/fig_cumu_frequency7467.png

(a) Spectral and cumulative thermal conductivity w.r.t frequency

../../_images/fig_cumu_mfp7466.png

(b) Spectral and cumulative thermal conductivity w.r.t MFP

Force constants

../../_images/fig_fc216737.png

(a) Force constants w.r.t atomic distance

Summary

../../_images/fig_kappa14214.png

(a) Temperature-dependent lattice thermal conductivity

../../_images/fig_times28074.png

(b) Computation time