mp-1040964/ZnCu2Bi2O8/anharm

Harmonic properties

../../_images/fig_bandos_pr17195.png

(a) Phonon dispersion with participation ratio and DOS

../../_images/fig_thermo17194.png

(b) Thermodynamic properties

Grüneisen parameters

../../_images/fig_gru_all7534.png

(a) Grüneisen parameters

../../_images/fig_gruneisen7534.png

(b) Phonon dispersion with Grüneisen parameters

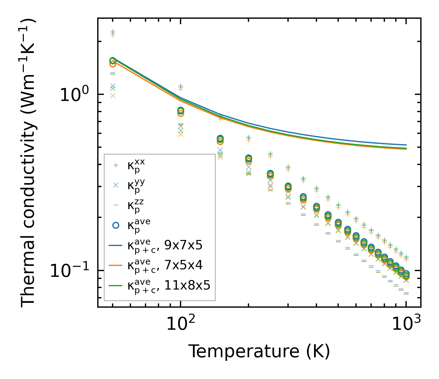
Thermal conductivity

3-phonon (LASSO) — q-mesh: 11x8x5, supercell: 2x1x1

../../_images/fig_kappa14211.png

(a) Temperature-dependent lattice thermal conductivity

../../_images/fig_kappa_vs_grain_size7623.png

(b) Peierls lattice thermal conductivity w.r.t grain size

Phonon lifetime and scattering rates

../../_images/fig_lifetime7466.png

(a) Phonon lifetime due to phonon-phonon scattering

../../_images/fig_scat_rates7465.png

(b) Phonon scattering rates

Cumulative and spectral thermal conductivity

../../_images/fig_cumu_frequency7466.png

(a) Spectral and cumulative thermal conductivity w.r.t frequency

../../_images/fig_cumu_mfp7465.png

(b) Spectral and cumulative thermal conductivity w.r.t MFP

Force constants

../../_images/fig_fc216736.png

(a) Force constants w.r.t atomic distance

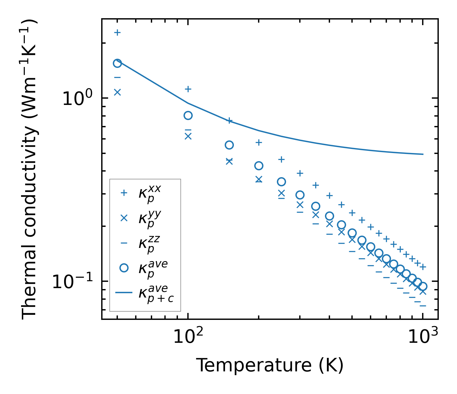
Summary

../../_images/fig_kappa14212.png

(a) Temperature-dependent lattice thermal conductivity

../../_images/fig_times28072.png

(b) Computation time