mp-1007694-2/SnPO4F/anharm

Equation of state

../../_images/fig_bm71.png

(a) Equation of state

Harmonic properties

../../_images/fig_bandos_pr276.png

(a) Phonon dispersion with participation ratio and DOS

../../_images/fig_bandos278.png

(b) Phonon dispersion and DOS

../../_images/fig_thermo276.png

(c) Thermodynamic properties

Grüneisen parameters

../../_images/fig_gru_all188.png

(a) Grüneisen parameters

../../_images/fig_gruneisen188.png

(b) Phonon dispersion with Grüneisen parameters

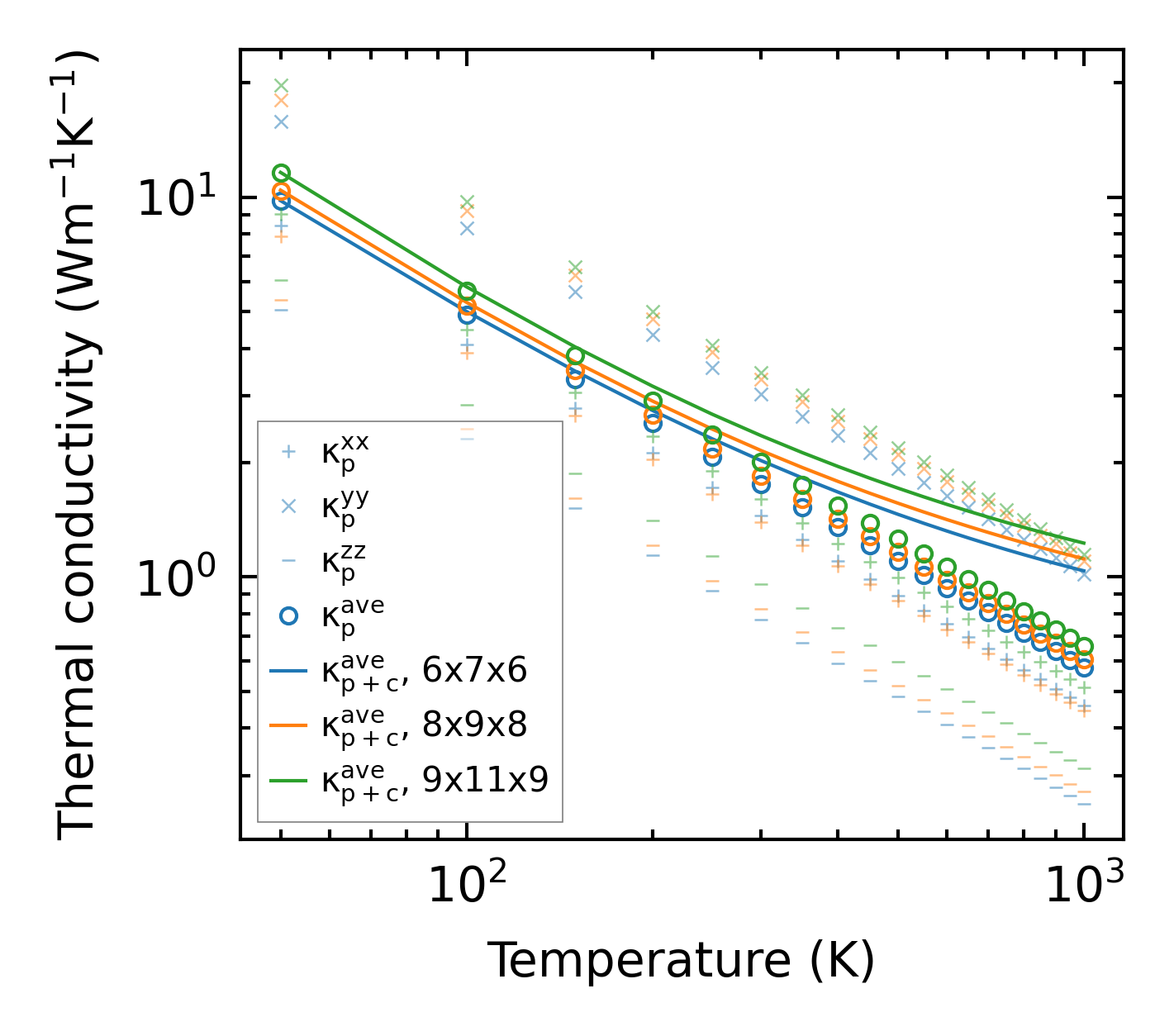
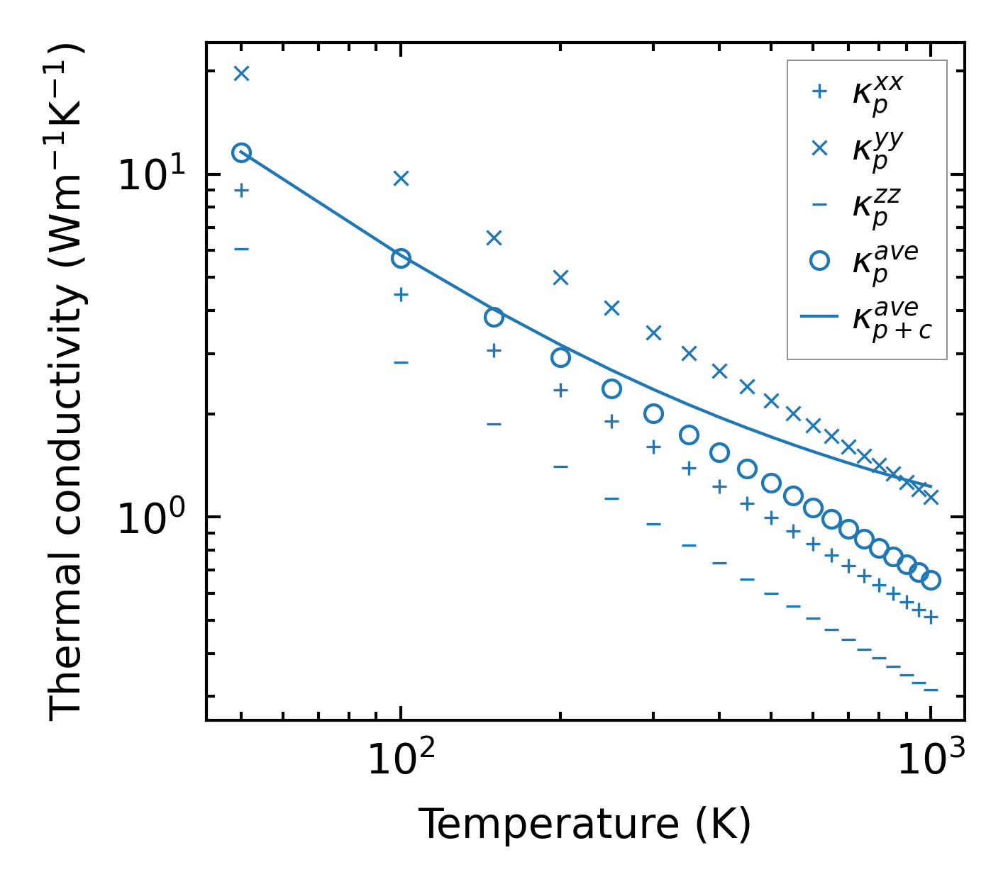
Thermal conductivity

3-phonon (LASSO) — q-mesh: 9x11x9, supercell: 1x2x2

../../_images/fig_kappa367.png

(a) Temperature-dependent lattice thermal conductivity

../../_images/fig_kappa_vs_grain_size190.png

(b) Peierls lattice thermal conductivity w.r.t grain size

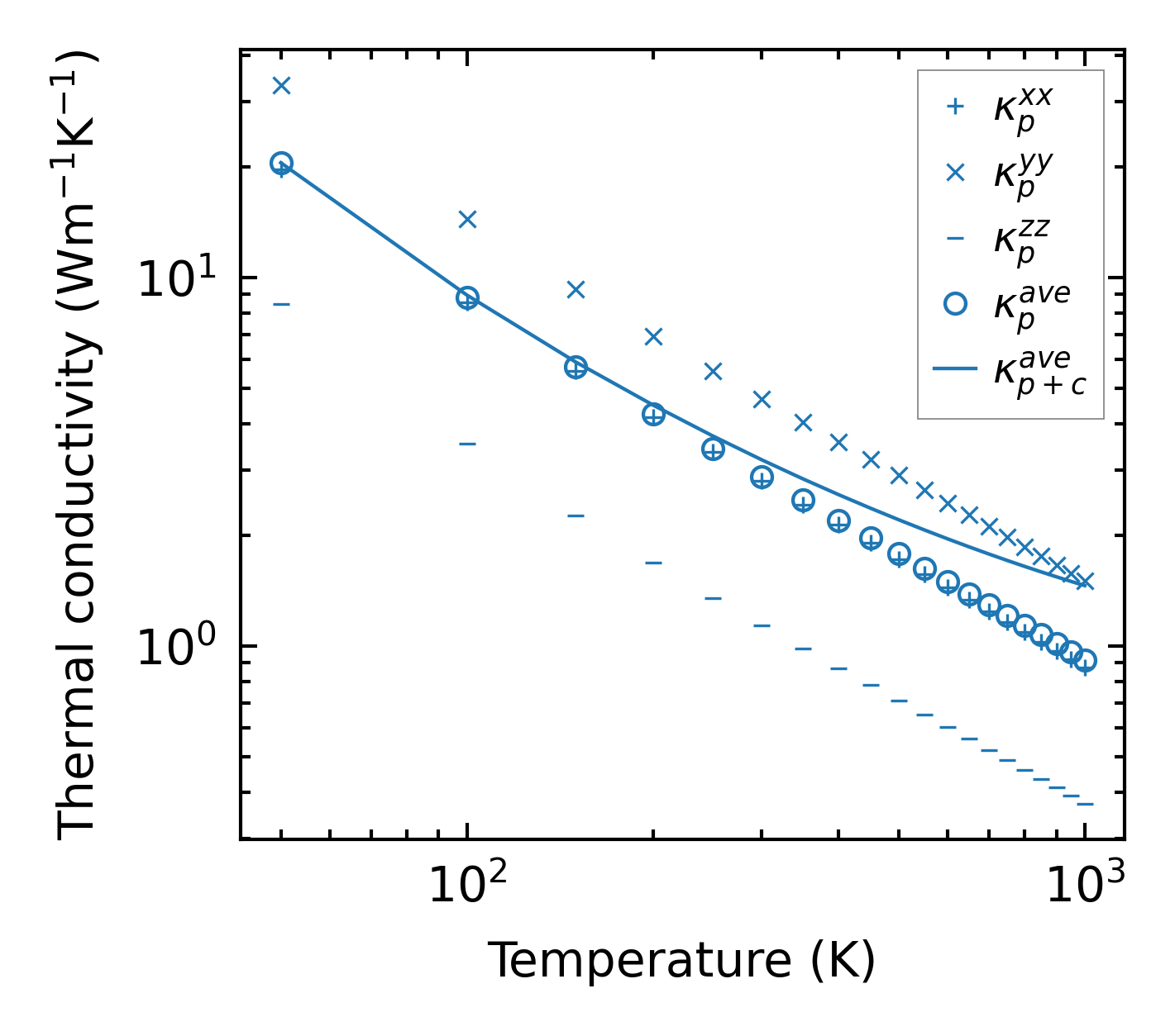
3-phonon (LASSO), supercell 2x2x2 — q-mesh: 9x11x9, supercell: 2x2x2

../../_images/fig_kappa368.png

(a) Temperature-dependent lattice thermal conductivity

../../_images/fig_kappa_vs_grain_size191.png

(b) Peierls lattice thermal conductivity w.r.t grain size

Phonon lifetime and scattering rates

../../_images/fig_lifetime187.png

(a) Phonon lifetime due to phonon-phonon scattering

../../_images/fig_scat_rates186.png

(b) Phonon scattering rates

Cumulative and spectral thermal conductivity

../../_images/fig_cumu_frequency187.png

(a) Spectral and cumulative thermal conductivity w.r.t frequency

../../_images/fig_cumu_mfp187.png

(b) Spectral and cumulative thermal conductivity w.r.t MFP

Force constants

../../_images/fig_fc2241.png

(a) Force constants w.r.t atomic distance

Summary

../../_images/fig_kappa369.png

(a) Temperature-dependent lattice thermal conductivity

../../_images/fig_times448.png

(b) Computation time