mp-1007636/KLuS2/anharm

Harmonic properties

../../_images/fig_bandos_pr273.png

(a) Phonon dispersion with participation ratio and DOS

../../_images/fig_thermo273.png

(b) Thermodynamic properties

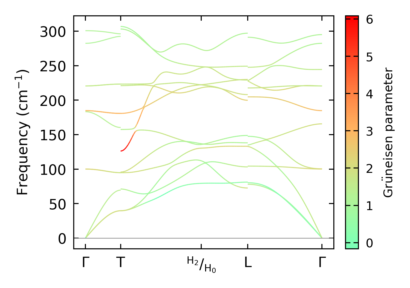
Grüneisen parameters

../../_images/fig_gru_all185.png

(a) Grüneisen parameters

../../_images/fig_gruneisen185.png

(b) Phonon dispersion with Grüneisen parameters

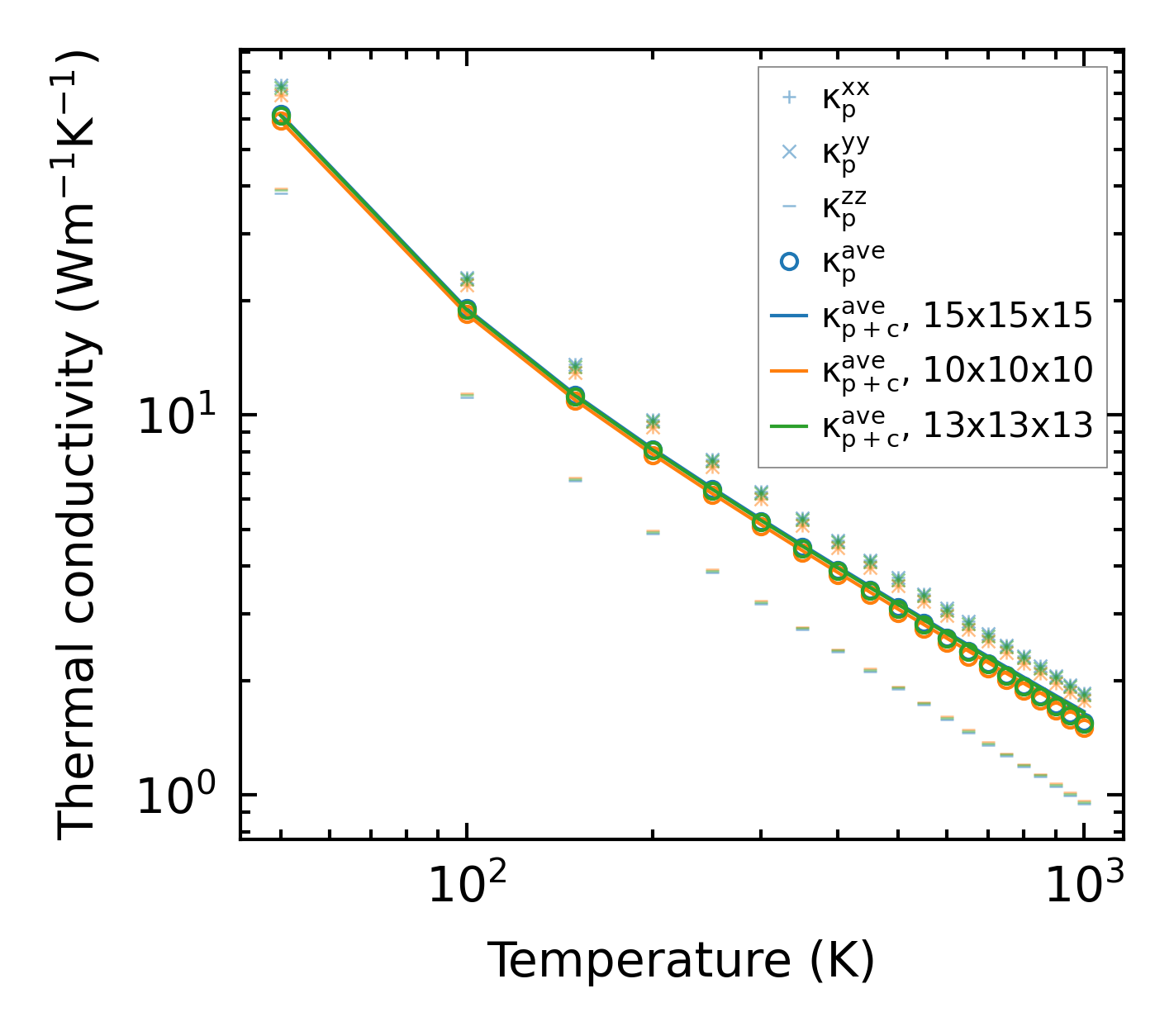
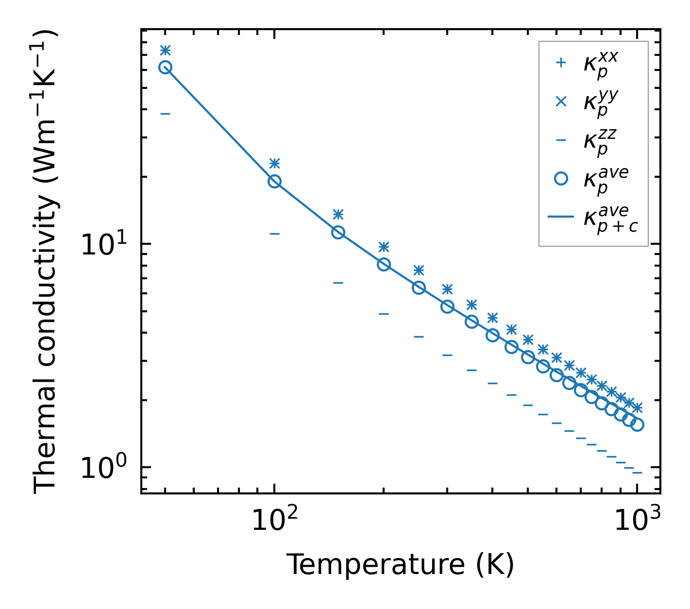
Thermal conductivity

3-phonon (LASSO) — q-mesh: 15x15x15, supercell: 3x3x1

../../_images/fig_kappa361.png

(a) Temperature-dependent lattice thermal conductivity

../../_images/fig_kappa_vs_grain_size187.png

(b) Peierls lattice thermal conductivity w.r.t grain size

Phonon lifetime and scattering rates

../../_images/fig_lifetime184.png

(a) Phonon lifetime due to phonon-phonon scattering

../../_images/fig_scat_rates183.png

(b) Phonon scattering rates

Cumulative and spectral thermal conductivity

../../_images/fig_cumu_frequency184.png

(a) Spectral and cumulative thermal conductivity w.r.t frequency

../../_images/fig_cumu_mfp184.png

(b) Spectral and cumulative thermal conductivity w.r.t MFP

Force constants

../../_images/fig_fc2238.png

(a) Force constants w.r.t atomic distance

Summary

../../_images/fig_kappa362.png

(a) Temperature-dependent lattice thermal conductivity

../../_images/fig_times444.png

(b) Computation time