mp-991676/NbCu3Te4/anharm

Harmonic properties

../../_images/fig_bandos_pr875.png

(a) Phonon dispersion with participation ratio and DOS

../../_images/fig_thermo875.png

(b) Thermodynamic properties

Grüneisen parameters

../../_images/fig_gru_all551.png

(a) Grüneisen parameters

../../_images/fig_gruneisen551.png

(b) Phonon dispersion with Grüneisen parameters

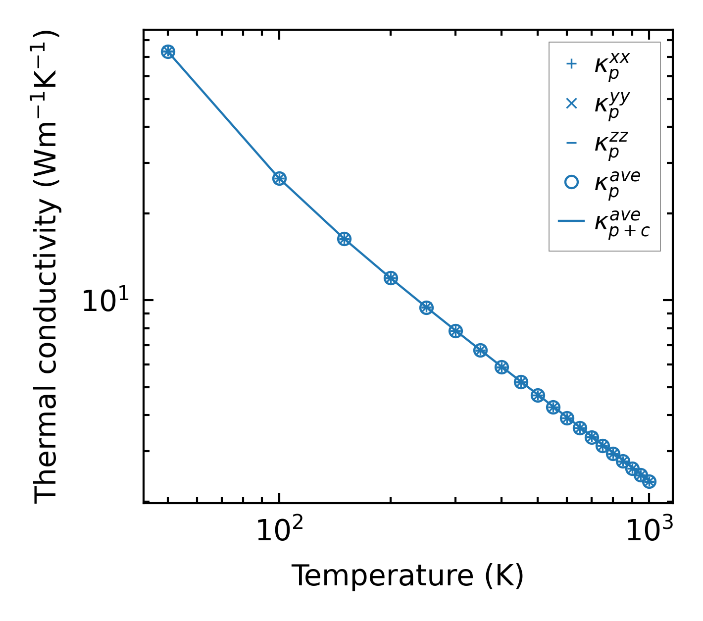
Thermal conductivity

3-phonon — q-mesh: 12x12x12, supercell: 2x2x2

../../_images/fig_kappa1074.png

(a) Temperature-dependent lattice thermal conductivity

../../_images/fig_kappa_vs_grain_size558.png

(b) Peierls lattice thermal conductivity w.r.t grain size

Phonon lifetime and scattering rates

../../_images/fig_lifetime549.png

(a) Phonon lifetime due to phonon-phonon scattering

../../_images/fig_scat_rates548.png

(b) Phonon scattering rates

Cumulative and spectral thermal conductivity

../../_images/fig_cumu_frequency549.png

(a) Spectral and cumulative thermal conductivity w.r.t frequency

../../_images/fig_cumu_mfp549.png

(b) Spectral and cumulative thermal conductivity w.r.t MFP

Force constants

../../_images/fig_fc3105.png

(a) Force constants w.r.t atomic distance

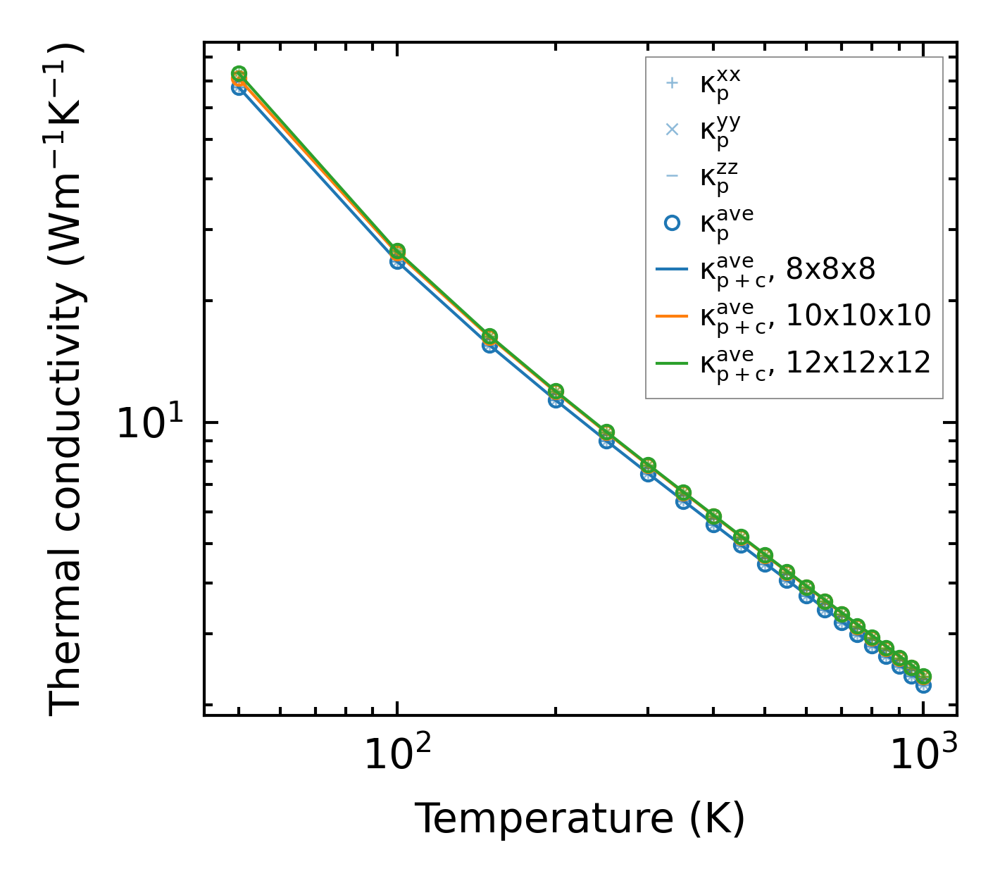
Summary

../../_images/fig_kappa1075.png

(a) Temperature-dependent lattice thermal conductivity

../../_images/fig_times1291.png

(b) Computation time