mp-981511/Y3SbO7/anharm

Harmonic properties

../../_images/fig_bandos_pr1079.png

(a) Phonon dispersion with participation ratio and DOS

../../_images/fig_thermo1079.png

(b) Thermodynamic properties

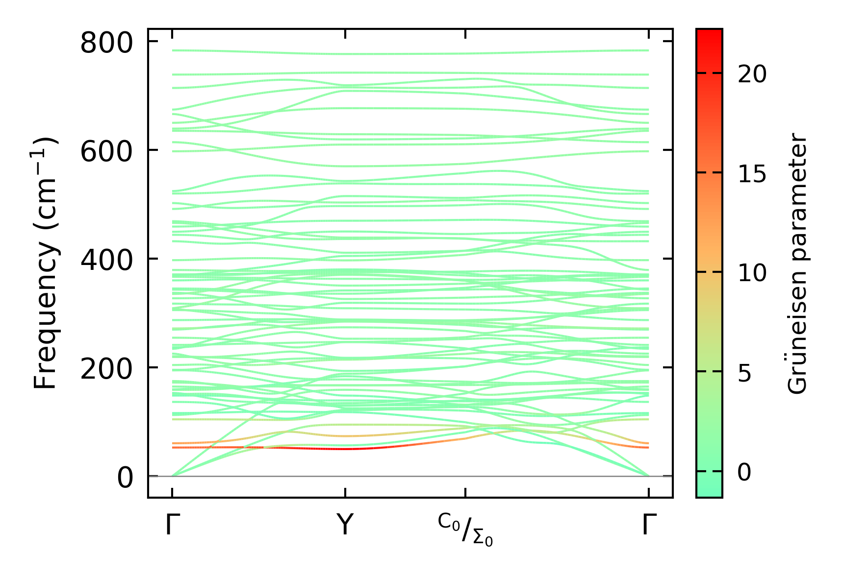
Grüneisen parameters

../../_images/fig_gru_all664.png

(a) Grüneisen parameters

../../_images/fig_gruneisen664.png

(b) Phonon dispersion with Grüneisen parameters

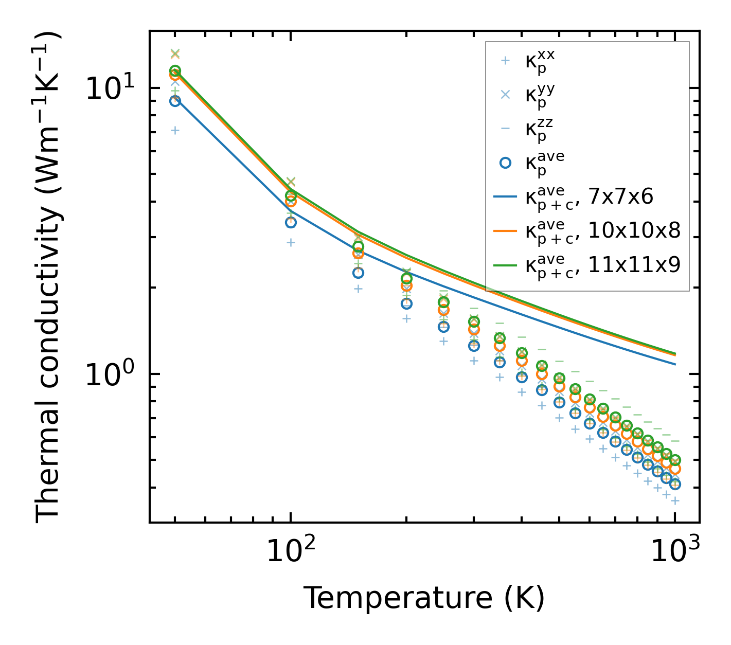
Thermal conductivity

3-phonon (LASSO) — q-mesh: 11x11x9, supercell: 2x1x1

../../_images/fig_kappa1294.png

(a) Temperature-dependent lattice thermal conductivity

../../_images/fig_kappa_vs_grain_size672.png

(b) Peierls lattice thermal conductivity w.r.t grain size

Phonon lifetime and scattering rates

../../_images/fig_lifetime662.png

(a) Phonon lifetime due to phonon-phonon scattering

../../_images/fig_scat_rates661.png

(b) Phonon scattering rates

Cumulative and spectral thermal conductivity

../../_images/fig_cumu_frequency662.png

(a) Spectral and cumulative thermal conductivity w.r.t frequency

../../_images/fig_cumu_mfp662.png

(b) Spectral and cumulative thermal conductivity w.r.t MFP

Force constants

../../_images/fig_fc2947.png

(a) Force constants w.r.t atomic distance

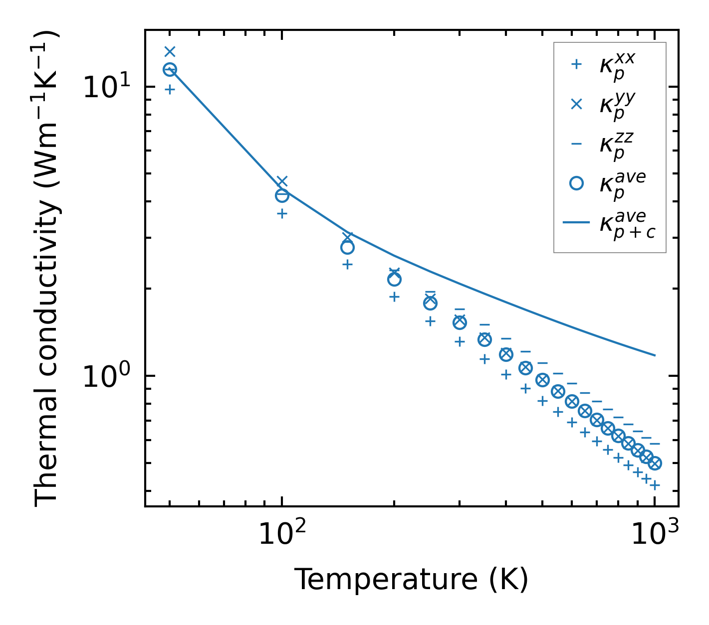
Summary

../../_images/fig_kappa1295.png

(a) Temperature-dependent lattice thermal conductivity

../../_images/fig_times1620.png

(b) Computation time