mp-980666/SrDy2S4/anharm

Harmonic properties

../../_images/fig_bandos_pr1077.png

(a) Phonon dispersion with participation ratio and DOS

../../_images/fig_thermo1077.png

(b) Thermodynamic properties

Grüneisen parameters

../../_images/fig_gru_all662.png

(a) Grüneisen parameters

../../_images/fig_gruneisen662.png

(b) Phonon dispersion with Grüneisen parameters

Thermal conductivity

3-phonon (LASSO) — q-mesh: 6x18x5, supercell: 1x3x1

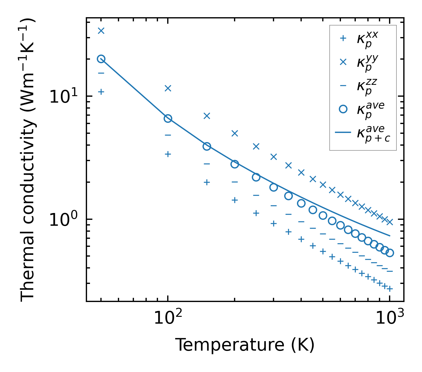
../../_images/fig_kappa1290.png

(a) Temperature-dependent lattice thermal conductivity

../../_images/fig_kappa_vs_grain_size670.png

(b) Peierls lattice thermal conductivity w.r.t grain size

Phonon lifetime and scattering rates

../../_images/fig_lifetime660.png

(a) Phonon lifetime due to phonon-phonon scattering

../../_images/fig_scat_rates659.png

(b) Phonon scattering rates

Cumulative and spectral thermal conductivity

../../_images/fig_cumu_frequency660.png

(a) Spectral and cumulative thermal conductivity w.r.t frequency

../../_images/fig_cumu_mfp660.png

(b) Spectral and cumulative thermal conductivity w.r.t MFP

Force constants

../../_images/fig_fc2945.png

(a) Force constants w.r.t atomic distance

Summary

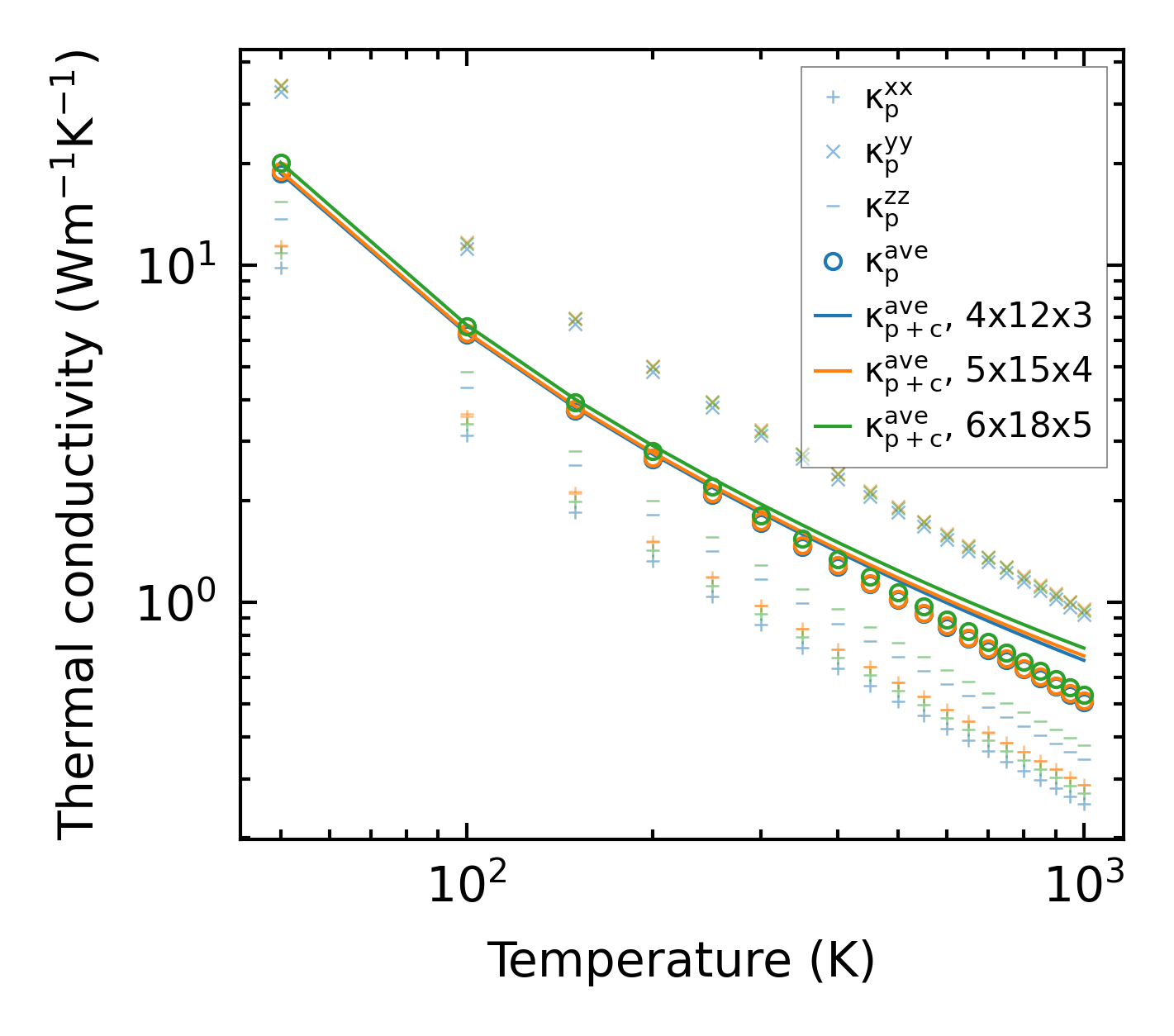
../../_images/fig_kappa1291.png

(a) Temperature-dependent lattice thermal conductivity

../../_images/fig_times1616.png

(b) Computation time