mp-962072/KYSn/anharm

Harmonic properties

../../_images/fig_bandos_pr987.png

(a) Phonon dispersion with participation ratio and DOS

../../_images/fig_thermo987.png

(b) Thermodynamic properties

Grüneisen parameters

../../_images/fig_gru_all610.png

(a) Grüneisen parameters

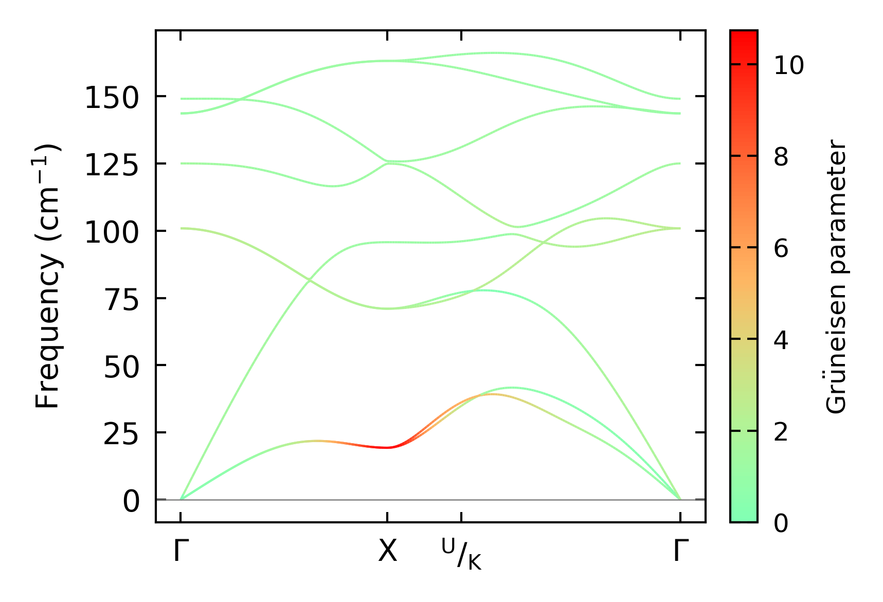
../../_images/fig_gruneisen610.png

(b) Phonon dispersion with Grüneisen parameters

Thermal conductivity

3-phonon — q-mesh: 15x15x15, supercell: 2x2x2

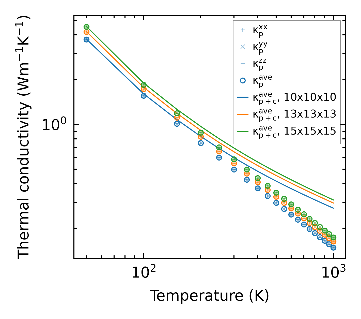
../../_images/fig_kappa1188.png

(a) Temperature-dependent lattice thermal conductivity

../../_images/fig_kappa_vs_grain_size618.png

(b) Peierls lattice thermal conductivity w.r.t grain size

Phonon lifetime and scattering rates

../../_images/fig_lifetime608.png

(a) Phonon lifetime due to phonon-phonon scattering

../../_images/fig_scat_rates607.png

(b) Phonon scattering rates

Cumulative and spectral thermal conductivity

../../_images/fig_cumu_frequency608.png

(a) Spectral and cumulative thermal conductivity w.r.t frequency

../../_images/fig_cumu_mfp608.png

(b) Spectral and cumulative thermal conductivity w.r.t MFP

Force constants

../../_images/fig_fc3130.png

(a) Force constants w.r.t atomic distance

Summary

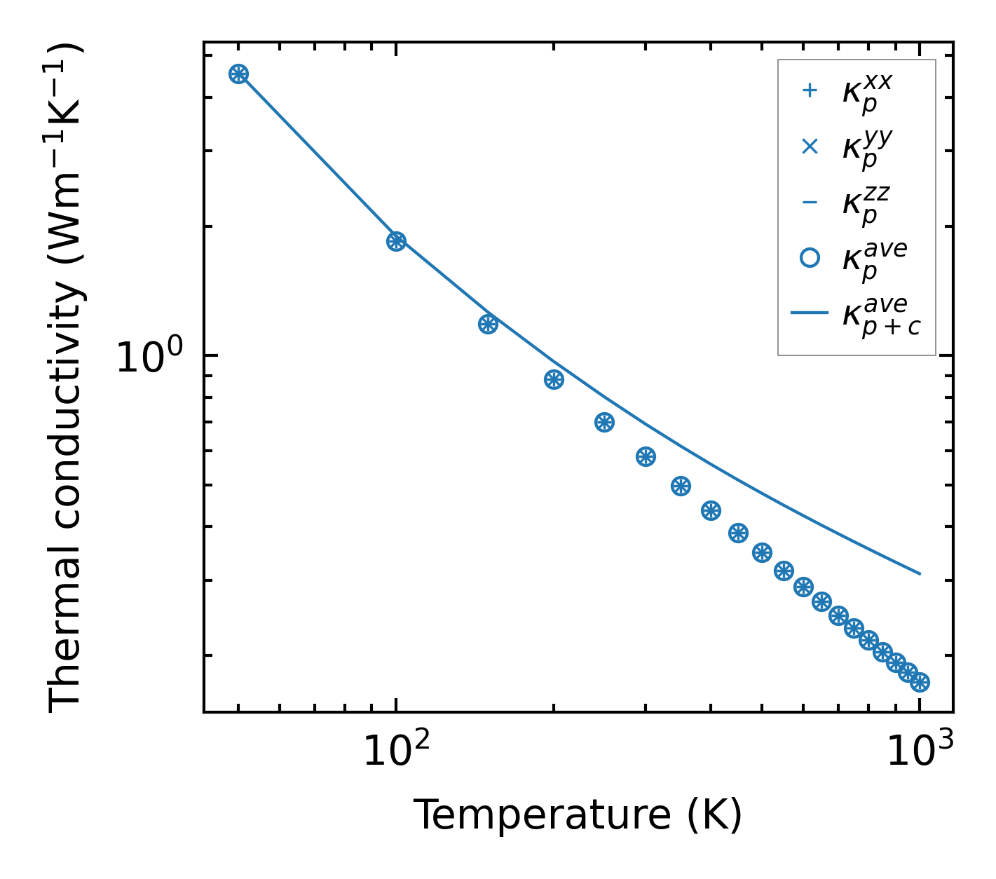
../../_images/fig_kappa1189.png

(a) Temperature-dependent lattice thermal conductivity

../../_images/fig_times1470.png

(b) Computation time