mp-850529/SrCaI4/anharm

Harmonic properties

../../_images/fig_bandos_pr1724.png

(a) Phonon dispersion with participation ratio and DOS

../../_images/fig_thermo1724.png

(b) Thermodynamic properties

Grüneisen parameters

../../_images/fig_gru_all990.png

(a) Grüneisen parameters

../../_images/fig_gruneisen990.png

(b) Phonon dispersion with Grüneisen parameters

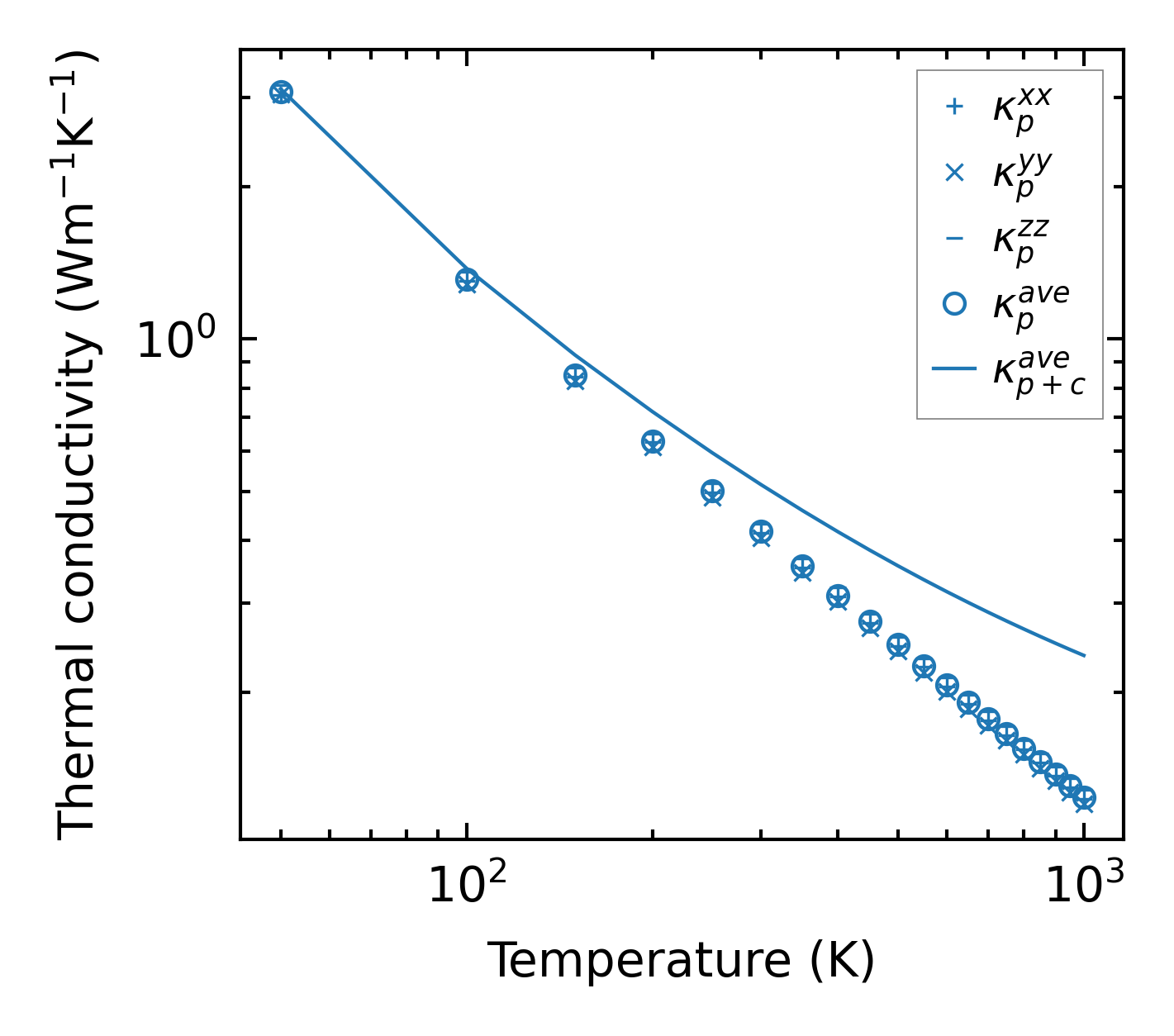
Thermal conductivity

3-phonon (LASSO) — q-mesh: 9x4x9, supercell: 3x1x2

../../_images/fig_kappa1918.png

(a) Temperature-dependent lattice thermal conductivity

../../_images/fig_kappa_vs_grain_size1001.png

(b) Peierls lattice thermal conductivity w.r.t grain size

Phonon lifetime and scattering rates

../../_images/fig_lifetime983.png

(a) Phonon lifetime due to phonon-phonon scattering

../../_images/fig_scat_rates982.png

(b) Phonon scattering rates

Cumulative and spectral thermal conductivity

../../_images/fig_cumu_frequency983.png

(a) Spectral and cumulative thermal conductivity w.r.t frequency

../../_images/fig_cumu_mfp983.png

(b) Spectral and cumulative thermal conductivity w.r.t MFP

Force constants

../../_images/fig_fc21556.png

(a) Force constants w.r.t atomic distance

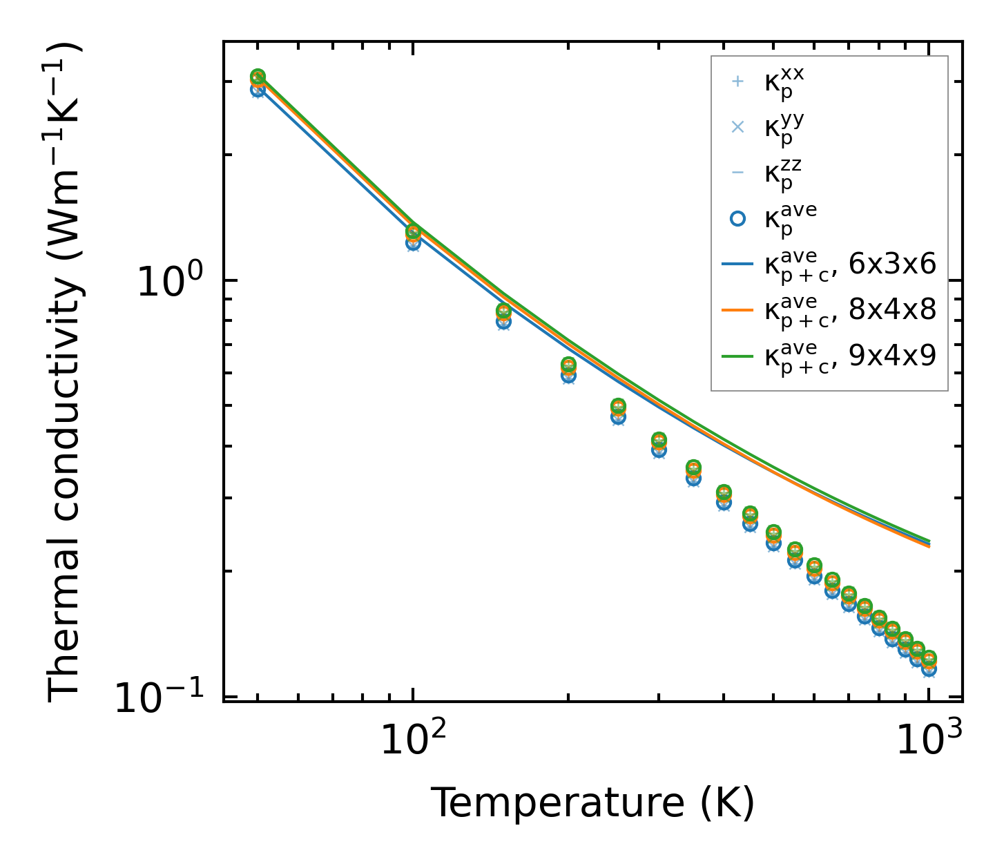
Summary

../../_images/fig_kappa1919.png

(a) Temperature-dependent lattice thermal conductivity

../../_images/fig_times2620.png

(b) Computation time