mp-782050/Ba4PdO6/anharm

Harmonic properties

../../_images/fig_bandos_pr2014.png

(a) Phonon dispersion with participation ratio and DOS

../../_images/fig_thermo2014.png

(b) Thermodynamic properties

Grüneisen parameters

../../_images/fig_gru_all1148.png

(a) Grüneisen parameters

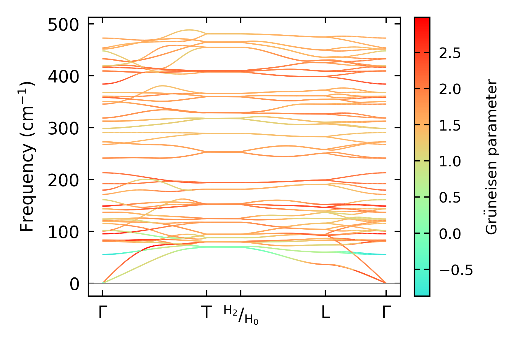
../../_images/fig_gruneisen1148.png

(b) Phonon dispersion with Grüneisen parameters

Thermal conductivity

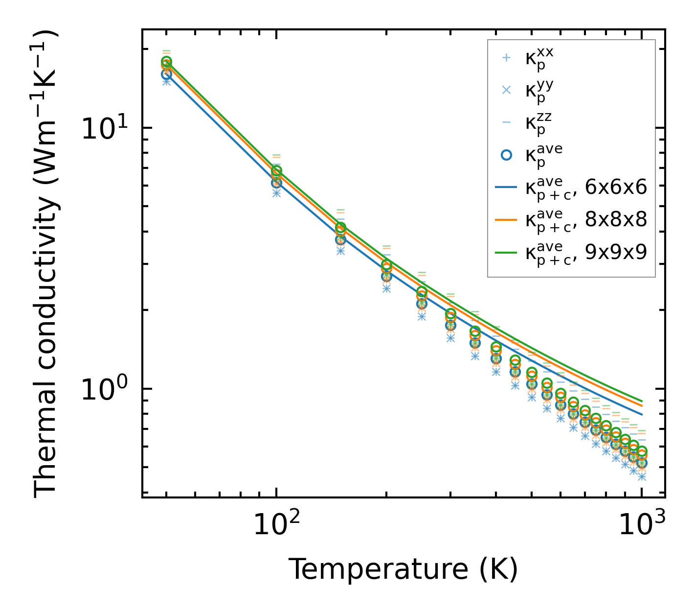
3-phonon (LASSO) — q-mesh: 9x9x9, supercell: 1x1x1

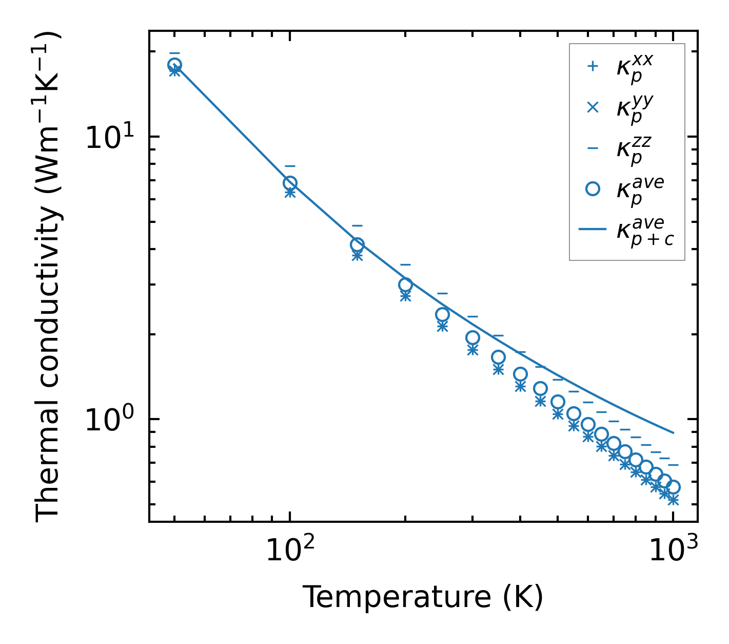
../../_images/fig_kappa2210.png

(a) Temperature-dependent lattice thermal conductivity

../../_images/fig_kappa_vs_grain_size1162.png

(b) Peierls lattice thermal conductivity w.r.t grain size

Phonon lifetime and scattering rates

../../_images/fig_lifetime1139.png

(a) Phonon lifetime due to phonon-phonon scattering

../../_images/fig_scat_rates1138.png

(b) Phonon scattering rates

Cumulative and spectral thermal conductivity

../../_images/fig_cumu_frequency1139.png

(a) Spectral and cumulative thermal conductivity w.r.t frequency

../../_images/fig_cumu_mfp1139.png

(b) Spectral and cumulative thermal conductivity w.r.t MFP

Force constants

../../_images/fig_fc21837.png

(a) Force constants w.r.t atomic distance

Summary

../../_images/fig_kappa2211.png

(a) Temperature-dependent lattice thermal conductivity

../../_images/fig_times3108.png

(b) Computation time