mp-746364/CrH12PdN4O4/anharm

Equation of state

../../_images/fig_bm2050.png

(a) Equation of state

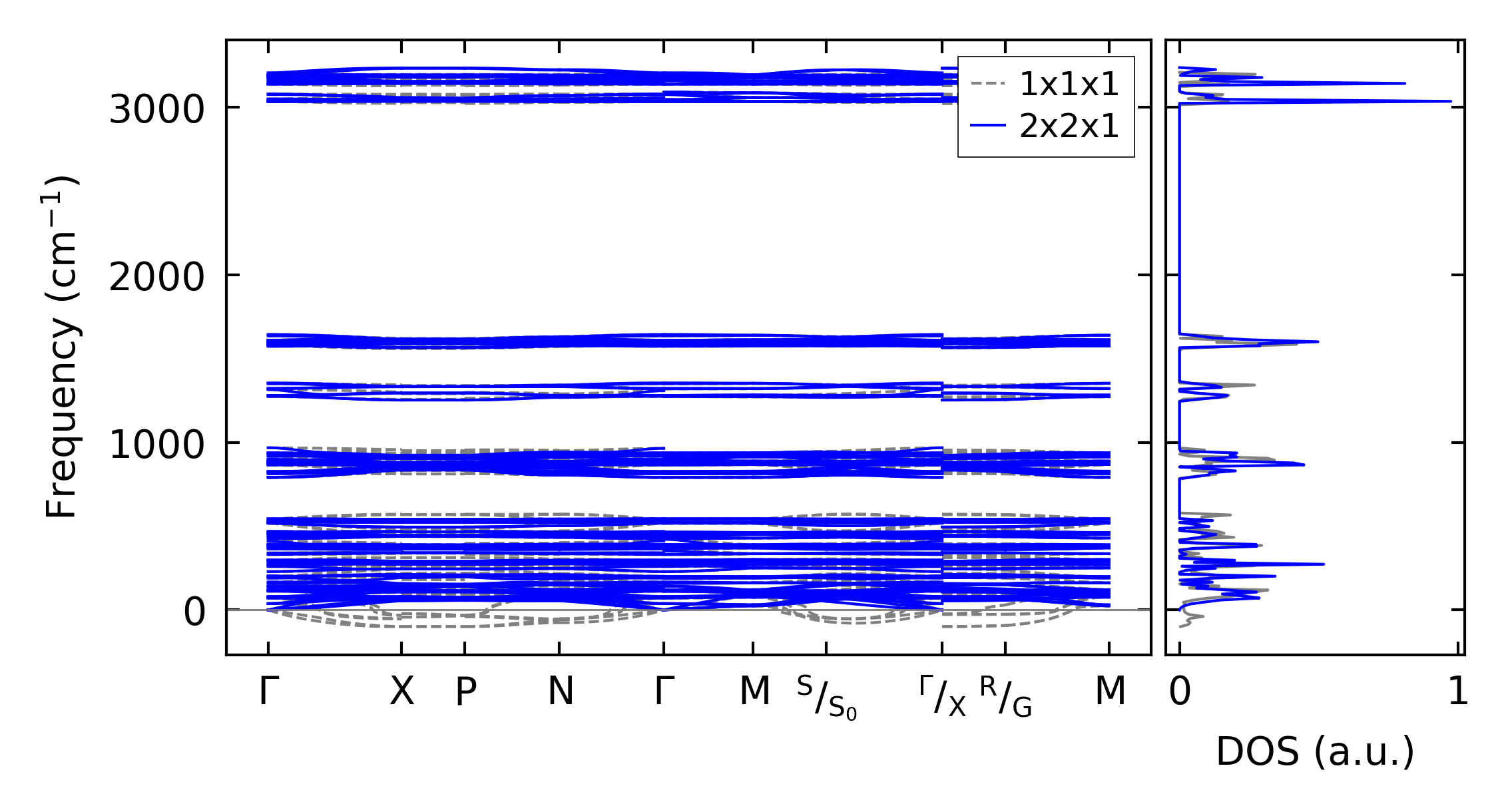
Harmonic properties

../../_images/fig_bandos_pr4128.png

(a) Phonon dispersion with participation ratio and DOS

../../_images/fig_bandos5591.png

(b) Phonon dispersion and DOS

../../_images/fig_thermo4128.png

(c) Thermodynamic properties

Grüneisen parameters

../../_images/fig_gru_all1824.png

(a) Grüneisen parameters

../../_images/fig_gruneisen1824.png

(b) Phonon dispersion with Grüneisen parameters

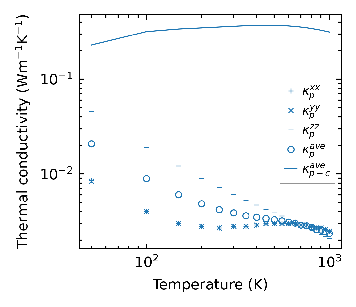
Thermal conductivity

3-phonon (LASSO), supercell 2x2x1 — q-mesh: 9x9x9, supercell: 2x2x1

../../_images/fig_kappa3501.png

(a) Temperature-dependent lattice thermal conductivity

../../_images/fig_kappa_vs_grain_size1852.png

(b) Peierls lattice thermal conductivity w.r.t grain size

Phonon lifetime and scattering rates

../../_images/fig_lifetime1814.png

(a) Phonon lifetime due to phonon-phonon scattering

../../_images/fig_scat_rates1813.png

(b) Phonon scattering rates

Cumulative and spectral thermal conductivity

../../_images/fig_cumu_frequency1814.png

(a) Spectral and cumulative thermal conductivity w.r.t frequency

../../_images/fig_cumu_mfp1814.png

(b) Spectral and cumulative thermal conductivity w.r.t MFP

Force constants

../../_images/fig_fc23941.png

(a) Force constants w.r.t atomic distance

Summary

../../_images/fig_times7211.png

(a) Computation time