mp-741045-2/Na4AlP2HO9/anharm

Equation of state

../../_images/fig_bm2047.png

(a) Equation of state

Harmonic properties

../../_images/fig_bandos_pr4125.png

(a) Phonon dispersion with participation ratio and DOS

../../_images/fig_thermo4125.png

(b) Thermodynamic properties

Grüneisen parameters

../../_images/fig_gru_all1823.png

(a) Grüneisen parameters

../../_images/fig_gruneisen1823.png

(b) Phonon dispersion with Grüneisen parameters

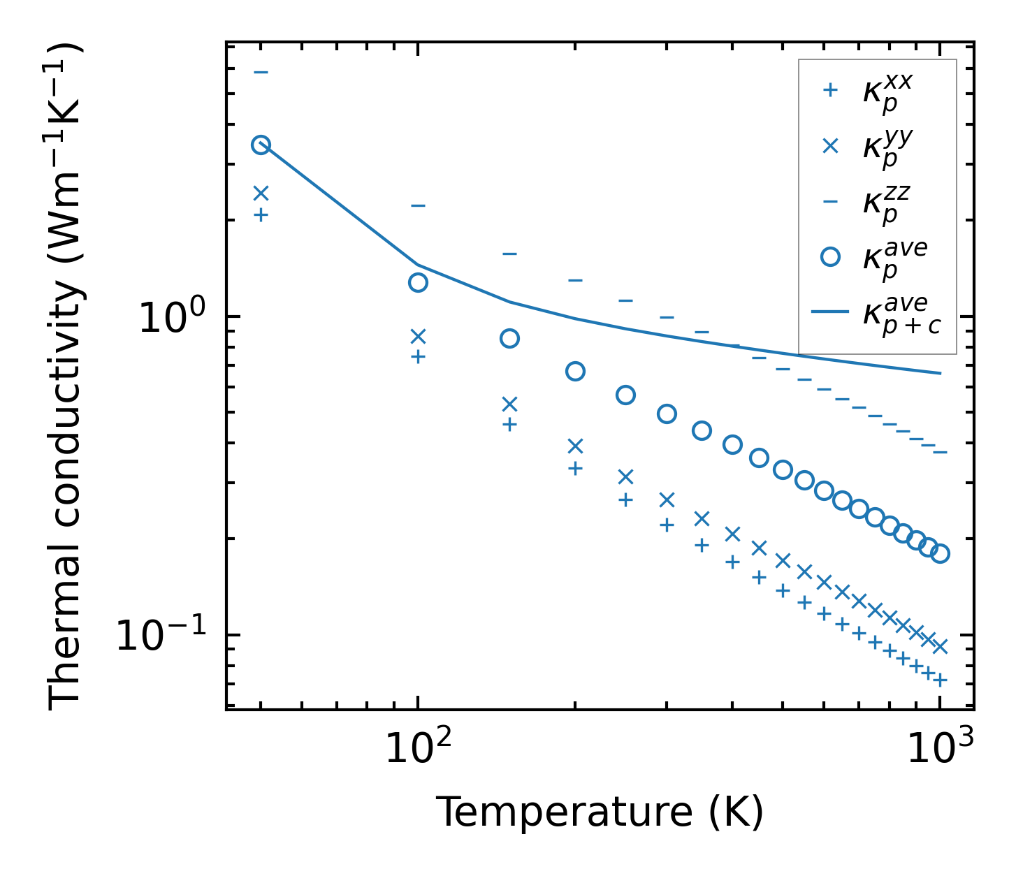
Thermal conductivity

3-phonon (LASSO) — q-mesh: 4x4x10, supercell: 1x1x1

../../_images/fig_kappa3499.png

(a) Temperature-dependent lattice thermal conductivity

../../_images/fig_kappa_vs_grain_size1851.png

(b) Peierls lattice thermal conductivity w.r.t grain size

Phonon lifetime and scattering rates

../../_images/fig_lifetime1813.png

(a) Phonon lifetime due to phonon-phonon scattering

../../_images/fig_scat_rates1812.png

(b) Phonon scattering rates

Cumulative and spectral thermal conductivity

../../_images/fig_cumu_frequency1813.png

(a) Spectral and cumulative thermal conductivity w.r.t frequency

../../_images/fig_cumu_mfp1813.png

(b) Spectral and cumulative thermal conductivity w.r.t MFP

Force constants

../../_images/fig_fc23938.png

(a) Force constants w.r.t atomic distance

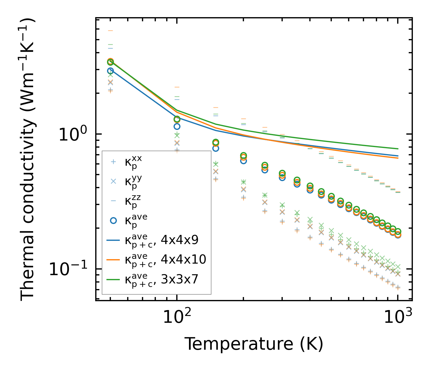
Summary

../../_images/fig_kappa3500.png

(a) Temperature-dependent lattice thermal conductivity

../../_images/fig_times7203.png

(b) Computation time