mp-732337-2/H6PbCBr3N/anharm

Equation of state

../../_images/fig_bm2001.png

(a) Equation of state

Harmonic properties

../../_images/fig_bandos_pr4058.png

(a) Phonon dispersion with participation ratio and DOS

../../_images/fig_thermo4058.png

(b) Thermodynamic properties

Grüneisen parameters

../../_images/fig_gru_all1814.png

(a) Grüneisen parameters

../../_images/fig_gruneisen1814.png

(b) Phonon dispersion with Grüneisen parameters

Thermal conductivity

3-phonon (LASSO) — q-mesh: 9x6x8, supercell: 2x1x1

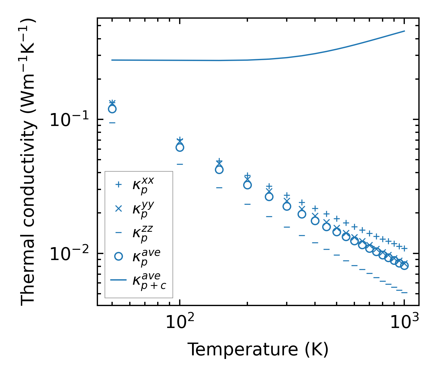
../../_images/fig_kappa3483.png

(a) Temperature-dependent lattice thermal conductivity

../../_images/fig_kappa_vs_grain_size1842.png

(b) Peierls lattice thermal conductivity w.r.t grain size

Phonon lifetime and scattering rates

../../_images/fig_lifetime1804.png

(a) Phonon lifetime due to phonon-phonon scattering

../../_images/fig_scat_rates1803.png

(b) Phonon scattering rates

Cumulative and spectral thermal conductivity

../../_images/fig_cumu_frequency1804.png

(a) Spectral and cumulative thermal conductivity w.r.t frequency

../../_images/fig_cumu_mfp1804.png

(b) Spectral and cumulative thermal conductivity w.r.t MFP

Force constants

../../_images/fig_fc23871.png

(a) Force constants w.r.t atomic distance

Summary

../../_images/fig_kappa3484.png

(a) Temperature-dependent lattice thermal conductivity

../../_images/fig_times7046.png

(b) Computation time