mp-731593/YbI2O/anharm

Harmonic properties

../../_images/fig_bandos_pr4046.png

(a) Phonon dispersion with participation ratio and DOS

../../_images/fig_thermo4046.png

(b) Thermodynamic properties

Grüneisen parameters

../../_images/fig_gru_all1812.png

(a) Grüneisen parameters

../../_images/fig_gruneisen1812.png

(b) Phonon dispersion with Grüneisen parameters

Thermal conductivity

3-phonon (LASSO) — q-mesh: 10x11x6, supercell: 2x2x2

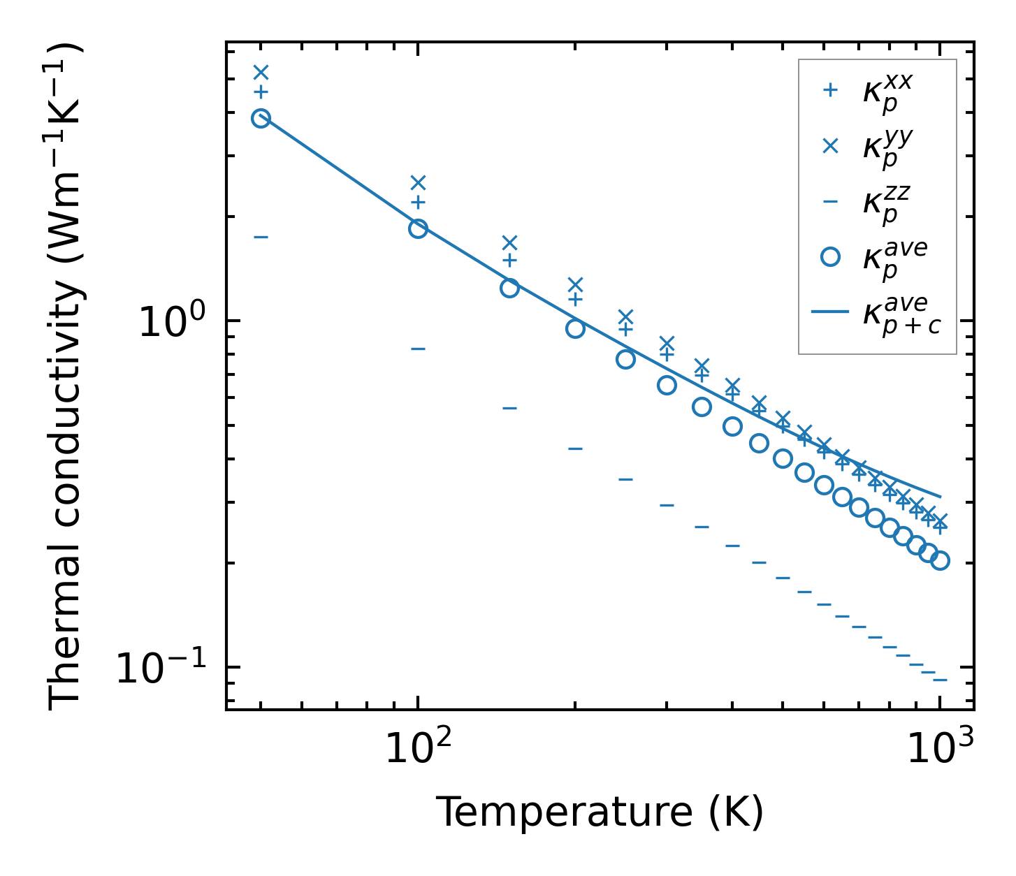
../../_images/fig_kappa3479.png

(a) Temperature-dependent lattice thermal conductivity

../../_images/fig_kappa_vs_grain_size1840.png

(b) Peierls lattice thermal conductivity w.r.t grain size

Phonon lifetime and scattering rates

../../_images/fig_lifetime1802.png

(a) Phonon lifetime due to phonon-phonon scattering

../../_images/fig_scat_rates1801.png

(b) Phonon scattering rates

Cumulative and spectral thermal conductivity

../../_images/fig_cumu_frequency1802.png

(a) Spectral and cumulative thermal conductivity w.r.t frequency

../../_images/fig_cumu_mfp1802.png

(b) Spectral and cumulative thermal conductivity w.r.t MFP

Force constants

../../_images/fig_fc23859.png

(a) Force constants w.r.t atomic distance

Summary

../../_images/fig_kappa3480.png

(a) Temperature-dependent lattice thermal conductivity

../../_images/fig_times7017.png

(b) Computation time