mp-694981-2/Na4Al3Si3BH4O12/anharm

Equation of state

../../_images/fig_bm2390.png

(a) Equation of state

Harmonic properties

../../_images/fig_bandos_pr4825.png

(a) Phonon dispersion with participation ratio and DOS

../../_images/fig_thermo4825.png

(b) Thermodynamic properties

Grüneisen parameters

../../_images/fig_gru_all2082.png

(a) Grüneisen parameters

../../_images/fig_gruneisen2082.png

(b) Phonon dispersion with Grüneisen parameters

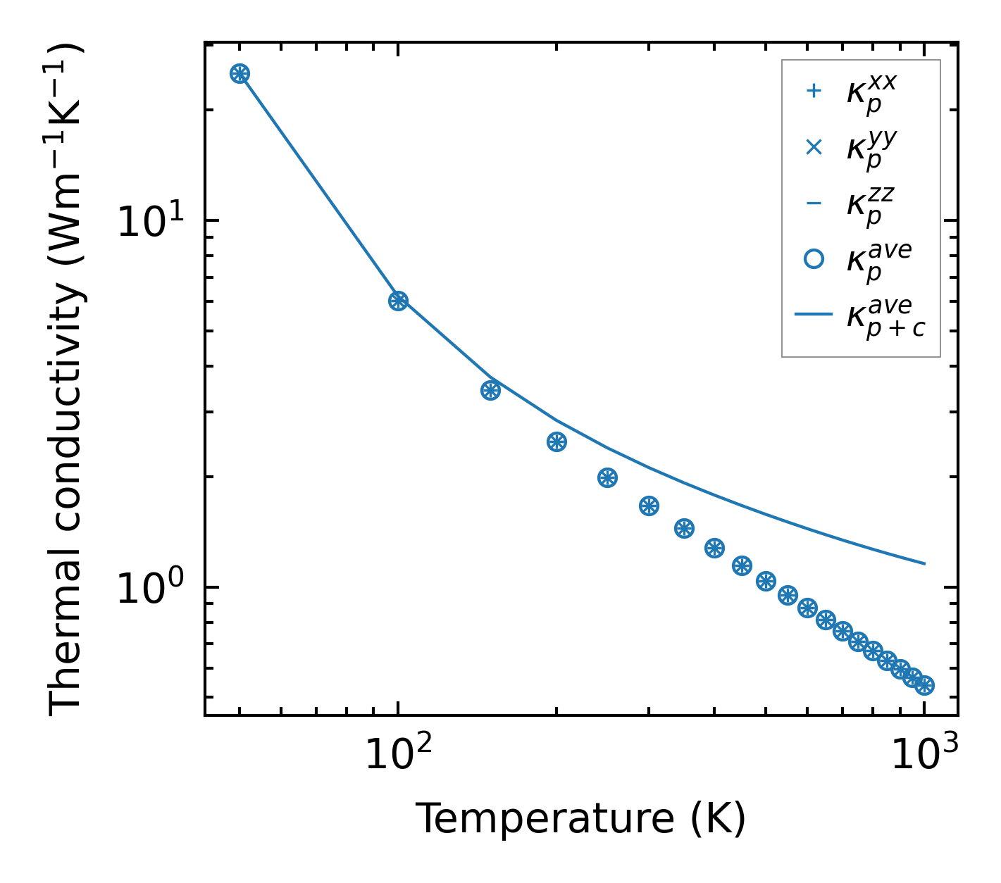
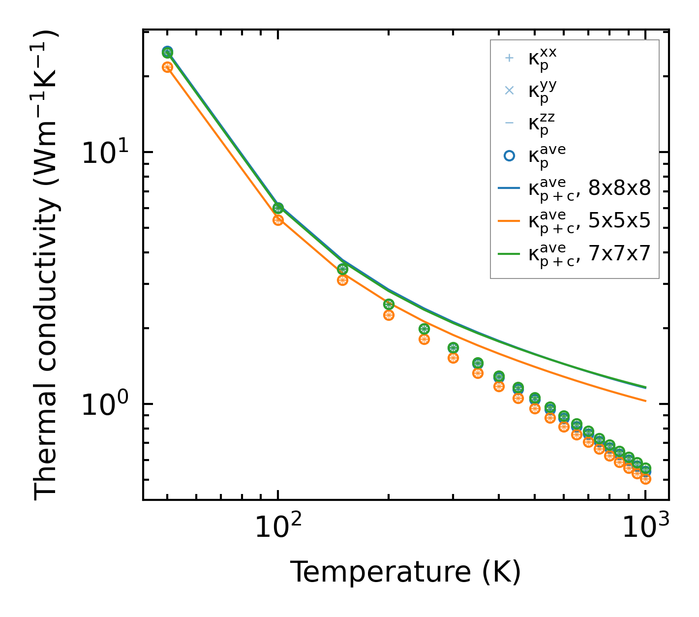
Thermal conductivity

3-phonon (LASSO) — q-mesh: 8x8x8, supercell: 1x1x1

../../_images/fig_kappa3993.png

(a) Temperature-dependent lattice thermal conductivity

../../_images/fig_kappa_vs_grain_size2113.png

(b) Peierls lattice thermal conductivity w.r.t grain size

Phonon lifetime and scattering rates

../../_images/fig_lifetime2069.png

(a) Phonon lifetime due to phonon-phonon scattering

../../_images/fig_scat_rates2068.png

(b) Phonon scattering rates

Cumulative and spectral thermal conductivity

../../_images/fig_cumu_frequency2069.png

(a) Spectral and cumulative thermal conductivity w.r.t frequency

../../_images/fig_cumu_mfp2069.png

(b) Spectral and cumulative thermal conductivity w.r.t MFP

Force constants

../../_images/fig_fc24634.png

(a) Force constants w.r.t atomic distance

Summary

../../_images/fig_kappa3994.png

(a) Temperature-dependent lattice thermal conductivity

../../_images/fig_times8537.png

(b) Computation time