mp-690794/Sr2HN/anharm

Harmonic properties

../../_images/fig_bandos_pr5050.png

(a) Phonon dispersion with participation ratio and DOS

../../_images/fig_thermo5050.png

(b) Thermodynamic properties

Grüneisen parameters

../../_images/fig_gru_all2138.png

(a) Grüneisen parameters

../../_images/fig_gruneisen2138.png

(b) Phonon dispersion with Grüneisen parameters

Thermal conductivity

3-phonon (LASSO) — q-mesh: 16x16x16, supercell: 3x3x1

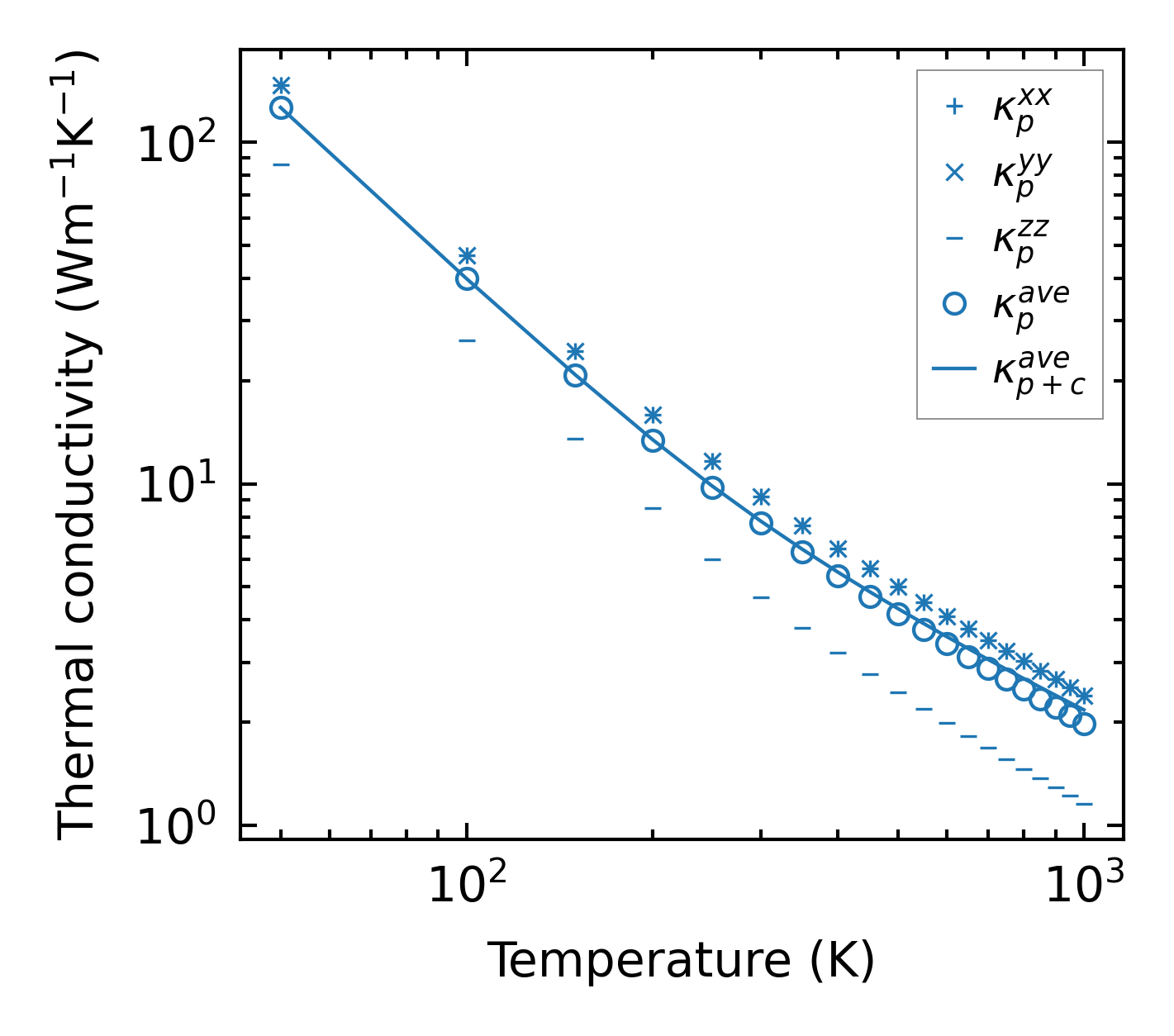
../../_images/fig_kappa4097.png

(a) Temperature-dependent lattice thermal conductivity

../../_images/fig_kappa_vs_grain_size2170.png

(b) Peierls lattice thermal conductivity w.r.t grain size

Phonon lifetime and scattering rates

../../_images/fig_lifetime2125.png

(a) Phonon lifetime due to phonon-phonon scattering

../../_images/fig_scat_rates2124.png

(b) Phonon scattering rates

Cumulative and spectral thermal conductivity

../../_images/fig_cumu_frequency2125.png

(a) Spectral and cumulative thermal conductivity w.r.t frequency

../../_images/fig_cumu_mfp2125.png

(b) Spectral and cumulative thermal conductivity w.r.t MFP

Force constants

../../_images/fig_fc24855.png

(a) Force constants w.r.t atomic distance

Summary

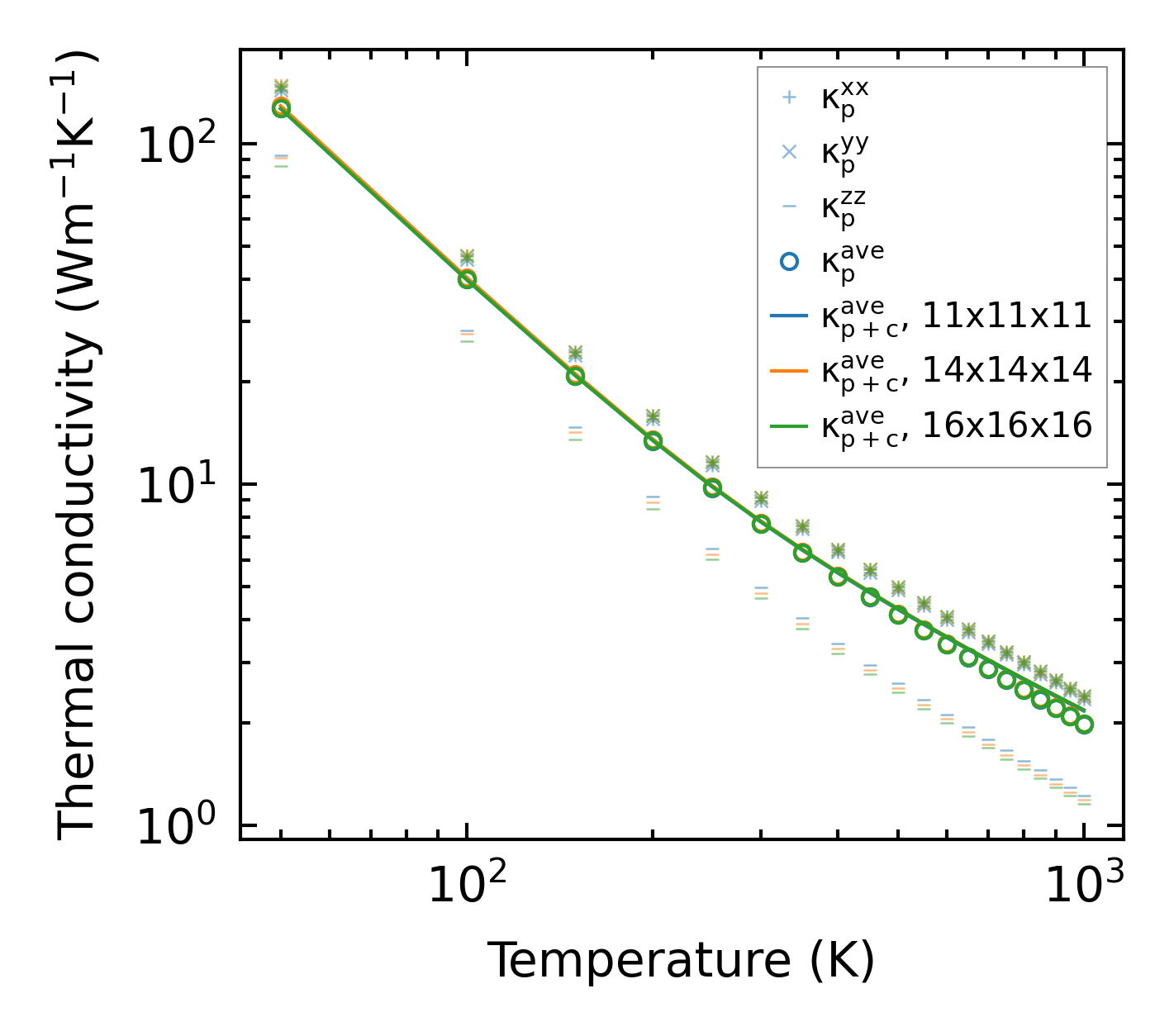
../../_images/fig_kappa4098.png

(a) Temperature-dependent lattice thermal conductivity

../../_images/fig_times9024.png

(b) Computation time