mp-669331/Ca3Y2Ge3O12/anharm

Harmonic properties

../../_images/fig_bandos_pr5374.png

(a) Phonon dispersion with participation ratio and DOS

../../_images/fig_thermo5374.png

(b) Thermodynamic properties

Grüneisen parameters

../../_images/fig_gru_all2235.png

(a) Grüneisen parameters

../../_images/fig_gruneisen2235.png

(b) Phonon dispersion with Grüneisen parameters

Thermal conductivity

3-phonon (LASSO) — q-mesh: 7x7x7, supercell: 1x1x1

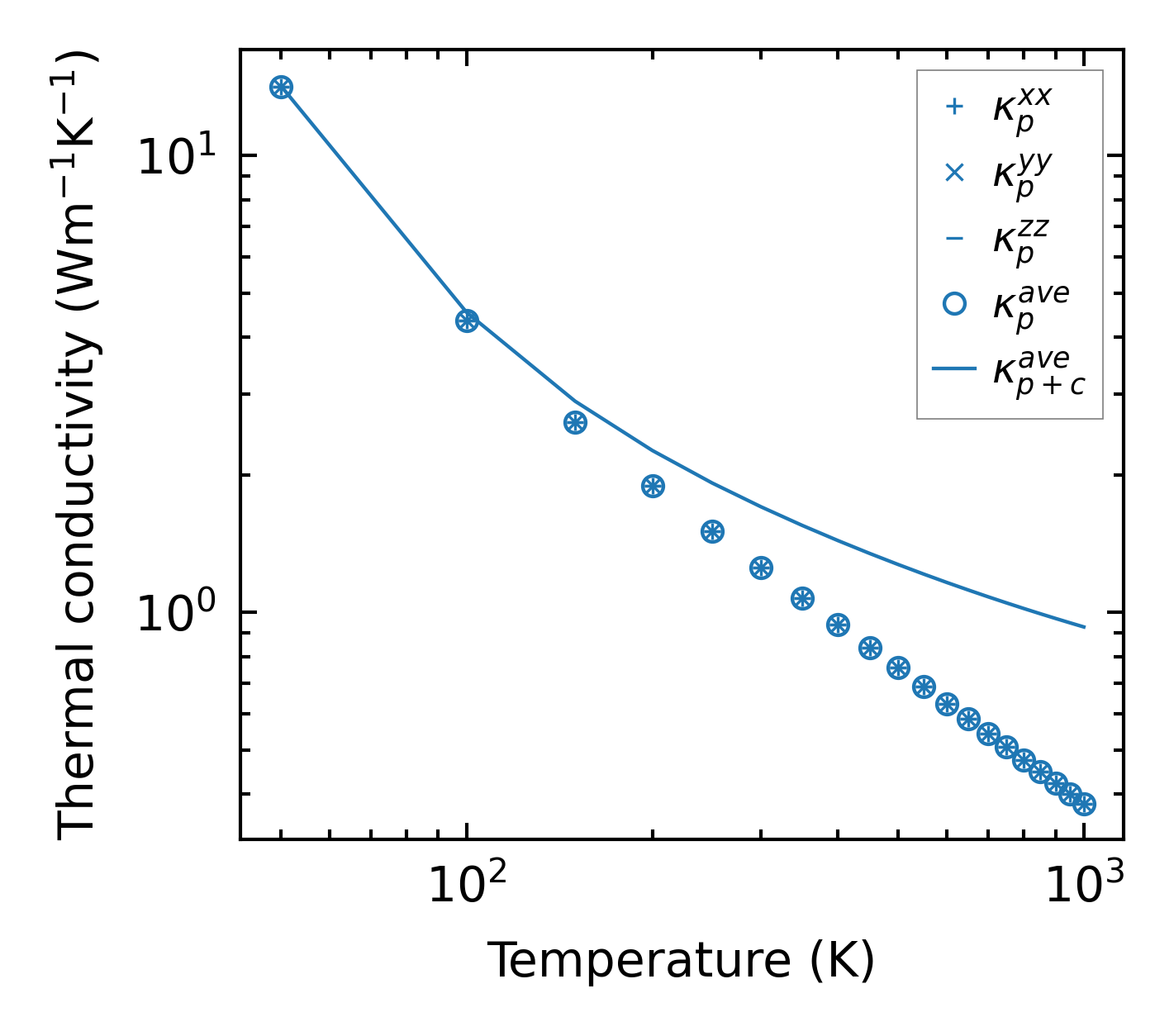
../../_images/fig_kappa4276.png

(a) Temperature-dependent lattice thermal conductivity

../../_images/fig_kappa_vs_grain_size2266.png

(b) Peierls lattice thermal conductivity w.r.t grain size

Phonon lifetime and scattering rates

../../_images/fig_lifetime2221.png

(a) Phonon lifetime due to phonon-phonon scattering

../../_images/fig_scat_rates2220.png

(b) Phonon scattering rates

Cumulative and spectral thermal conductivity

../../_images/fig_cumu_frequency2221.png

(a) Spectral and cumulative thermal conductivity w.r.t frequency

../../_images/fig_cumu_mfp2221.png

(b) Spectral and cumulative thermal conductivity w.r.t MFP

Force constants

../../_images/fig_fc25179.png

(a) Force constants w.r.t atomic distance

Summary

../../_images/fig_kappa4277.png

(a) Temperature-dependent lattice thermal conductivity

../../_images/fig_times9709.png

(b) Computation time