mp-654129/GaAgP2Se6/anharm

Harmonic properties

../../_images/fig_bandos_pr5337.png

(a) Phonon dispersion with participation ratio and DOS

../../_images/fig_thermo5337.png

(b) Thermodynamic properties

Grüneisen parameters

../../_images/fig_gru_all2224.png

(a) Grüneisen parameters

../../_images/fig_gruneisen2224.png

(b) Phonon dispersion with Grüneisen parameters

Thermal conductivity

3-phonon (LASSO) — q-mesh: 9x5x3, supercell: 1x1x1

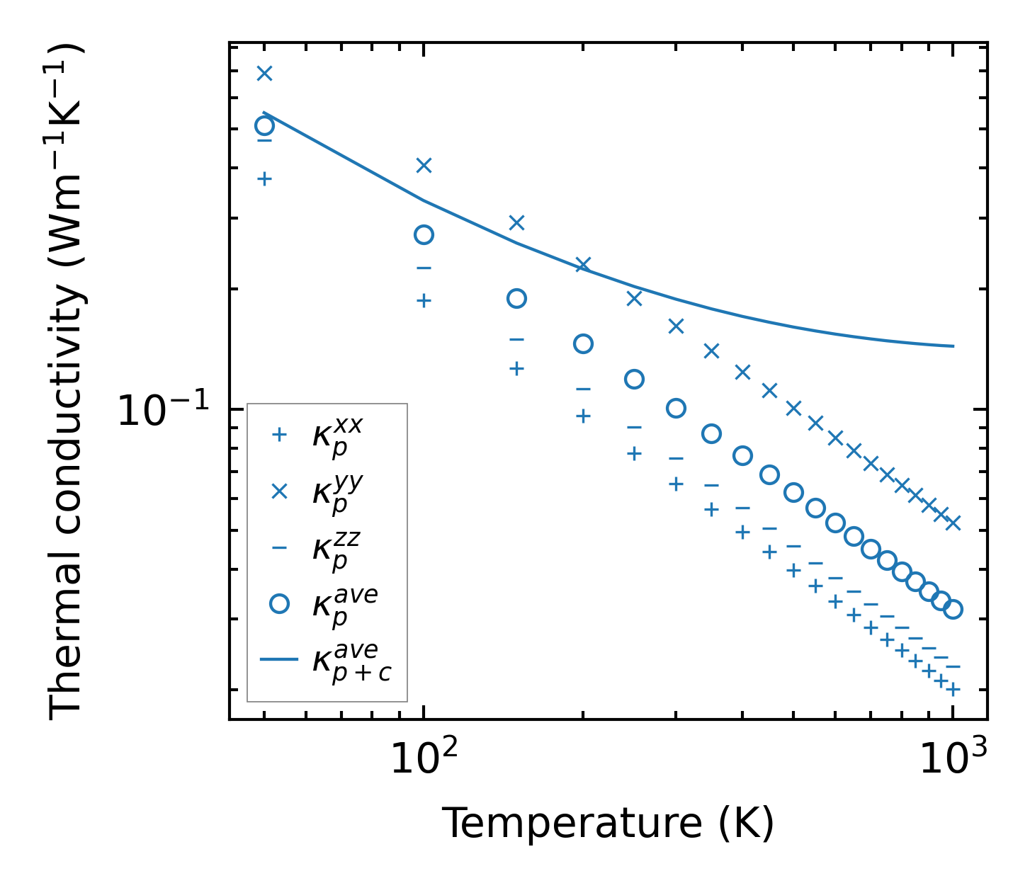
../../_images/fig_kappa4256.png

(a) Temperature-dependent lattice thermal conductivity

../../_images/fig_kappa_vs_grain_size2255.png

(b) Peierls lattice thermal conductivity w.r.t grain size

Phonon lifetime and scattering rates

../../_images/fig_lifetime2210.png

(a) Phonon lifetime due to phonon-phonon scattering

../../_images/fig_scat_rates2209.png

(b) Phonon scattering rates

Cumulative and spectral thermal conductivity

../../_images/fig_cumu_frequency2210.png

(a) Spectral and cumulative thermal conductivity w.r.t frequency

../../_images/fig_cumu_mfp2210.png

(b) Spectral and cumulative thermal conductivity w.r.t MFP

Force constants

../../_images/fig_fc25142.png

(a) Force constants w.r.t atomic distance

Summary

../../_images/fig_kappa4257.png

(a) Temperature-dependent lattice thermal conductivity

../../_images/fig_times9648.png

(b) Computation time