mp-645172/CsAs2Se3/anharm

Harmonic properties

../../_images/fig_bandos_pr5579.png

(a) Phonon dispersion with participation ratio and DOS

../../_images/fig_thermo5579.png

(b) Thermodynamic properties

Grüneisen parameters

../../_images/fig_gru_all2334.png

(a) Grüneisen parameters

../../_images/fig_gruneisen2334.png

(b) Phonon dispersion with Grüneisen parameters

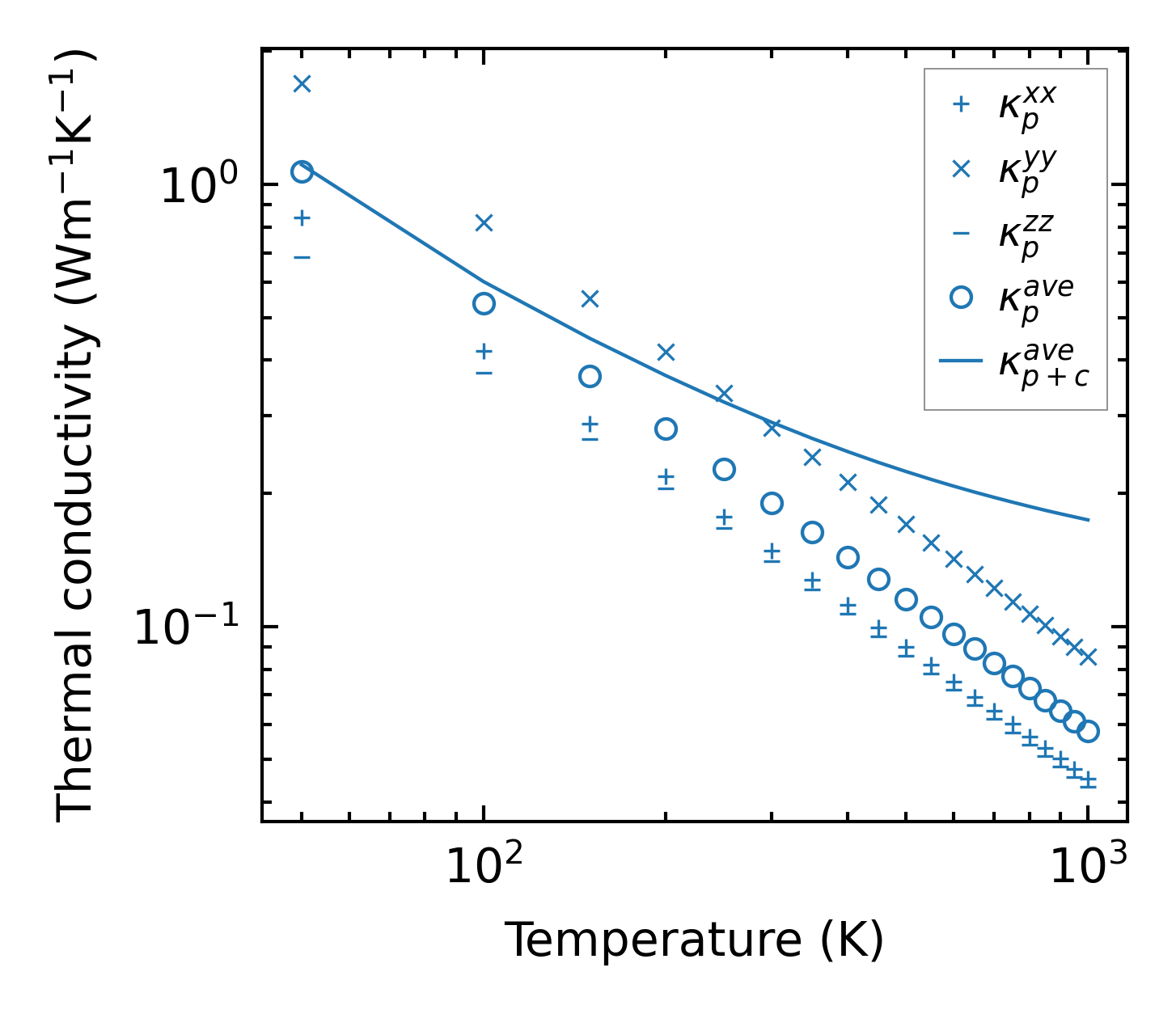
Thermal conductivity

3-phonon (LASSO) — q-mesh: 4x9x5, supercell: 1x2x1

../../_images/fig_kappa4462.png

(a) Temperature-dependent lattice thermal conductivity

../../_images/fig_kappa_vs_grain_size2364.png

(b) Peierls lattice thermal conductivity w.r.t grain size

Phonon lifetime and scattering rates

../../_images/fig_lifetime2319.png

(a) Phonon lifetime due to phonon-phonon scattering

../../_images/fig_scat_rates2318.png

(b) Phonon scattering rates

Cumulative and spectral thermal conductivity

../../_images/fig_cumu_frequency2319.png

(a) Spectral and cumulative thermal conductivity w.r.t frequency

../../_images/fig_cumu_mfp2319.png

(b) Spectral and cumulative thermal conductivity w.r.t MFP

Force constants

../../_images/fig_fc25380.png

(a) Force constants w.r.t atomic distance

Summary

../../_images/fig_kappa4463.png

(a) Temperature-dependent lattice thermal conductivity

../../_images/fig_times10059.png

(b) Computation time