mp-640075/FeSiGe/anharm

Harmonic properties

../../_images/fig_bandos_pr5705.png

(a) Phonon dispersion with participation ratio and DOS

../../_images/fig_thermo5705.png

(b) Thermodynamic properties

Grüneisen parameters

../../_images/fig_gru_all2376.png

(a) Grüneisen parameters

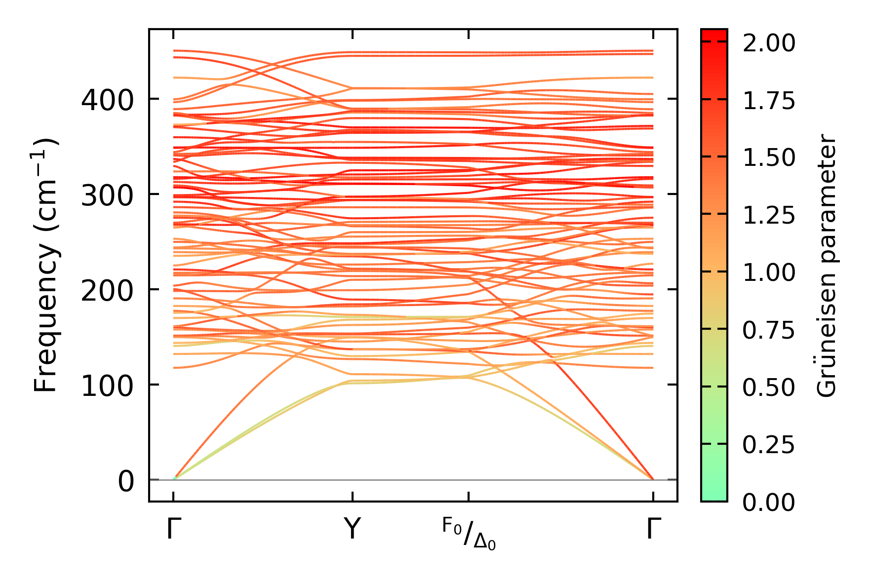
../../_images/fig_gruneisen2376.png

(b) Phonon dispersion with Grüneisen parameters

Thermal conductivity

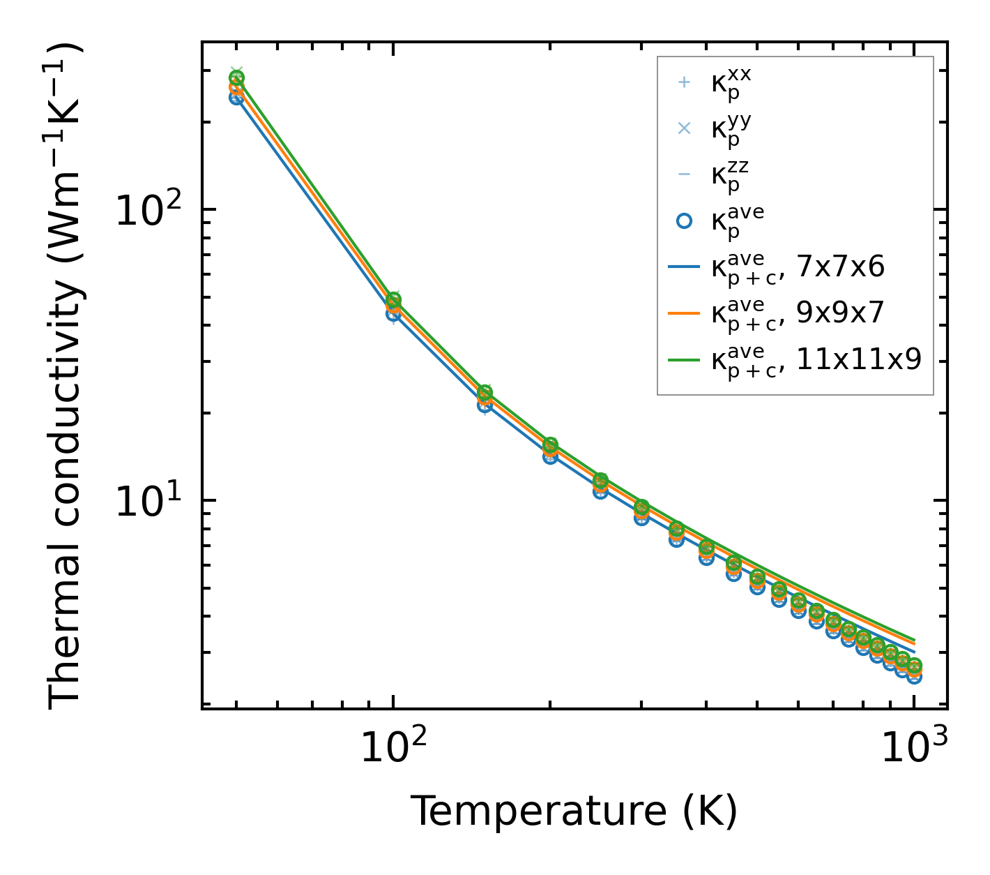
3-phonon (LASSO) — q-mesh: 11x11x9, supercell: 1x2x1

../../_images/fig_kappa4534.png

(a) Temperature-dependent lattice thermal conductivity

../../_images/fig_kappa_vs_grain_size2407.png

(b) Peierls lattice thermal conductivity w.r.t grain size

Phonon lifetime and scattering rates

../../_images/fig_lifetime2361.png

(a) Phonon lifetime due to phonon-phonon scattering

../../_images/fig_scat_rates2360.png

(b) Phonon scattering rates

Cumulative and spectral thermal conductivity

../../_images/fig_cumu_frequency2361.png

(a) Spectral and cumulative thermal conductivity w.r.t frequency

../../_images/fig_cumu_mfp2361.png

(b) Spectral and cumulative thermal conductivity w.r.t MFP

Force constants

../../_images/fig_fc25502.png

(a) Force constants w.r.t atomic distance

Summary

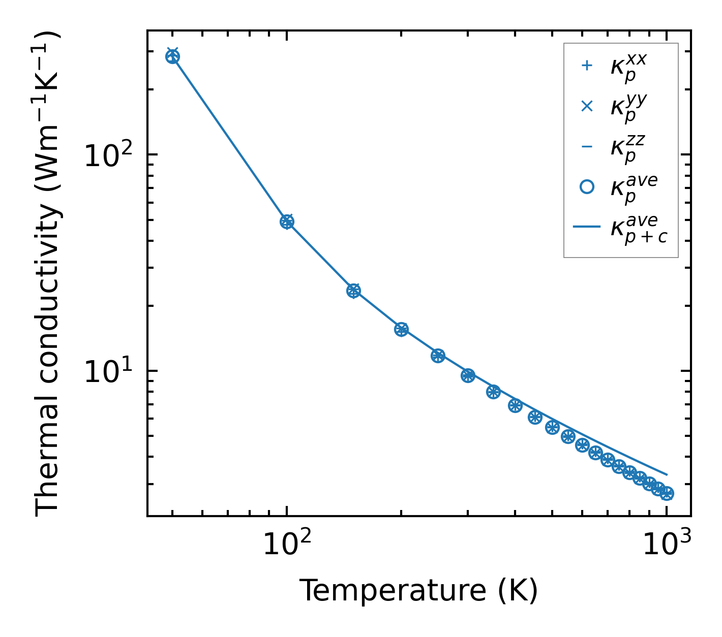
../../_images/fig_kappa4535.png

(a) Temperature-dependent lattice thermal conductivity

../../_images/fig_times10316.png

(b) Computation time