mp-636839/HgN3/anharm

Harmonic properties

../../_images/fig_bandos_pr5675.png

(a) Phonon dispersion with participation ratio and DOS

../../_images/fig_thermo5675.png

(b) Thermodynamic properties

Grüneisen parameters

../../_images/fig_gru_all2365.png

(a) Grüneisen parameters

../../_images/fig_gruneisen2365.png

(b) Phonon dispersion with Grüneisen parameters

Thermal conductivity

3-phonon (LASSO) — q-mesh: 20x5x11, supercell: 4x1x2

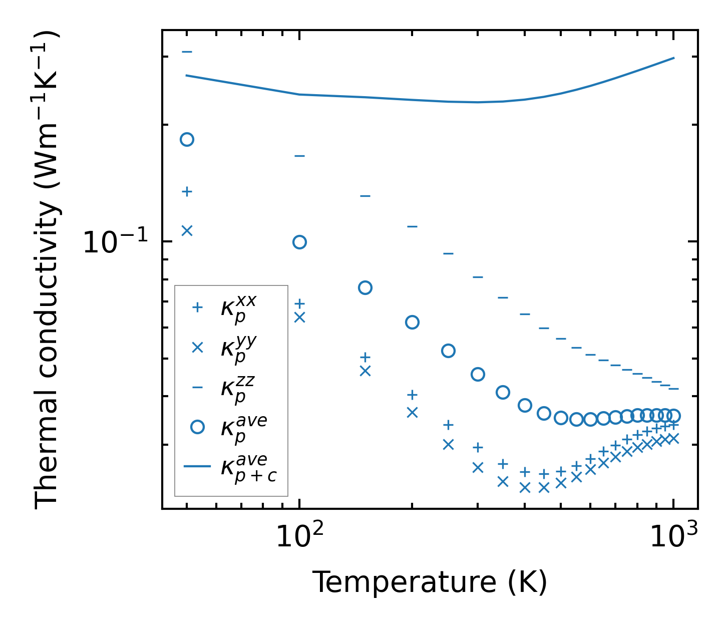
../../_images/fig_kappa4514.png

(a) Temperature-dependent lattice thermal conductivity

../../_images/fig_kappa_vs_grain_size2396.png

(b) Peierls lattice thermal conductivity w.r.t grain size

Phonon lifetime and scattering rates

../../_images/fig_lifetime2350.png

(a) Phonon lifetime due to phonon-phonon scattering

../../_images/fig_scat_rates2349.png

(b) Phonon scattering rates

Cumulative and spectral thermal conductivity

../../_images/fig_cumu_frequency2350.png

(a) Spectral and cumulative thermal conductivity w.r.t frequency

../../_images/fig_cumu_mfp2350.png

(b) Spectral and cumulative thermal conductivity w.r.t MFP

Force constants

../../_images/fig_fc25474.png

(a) Force constants w.r.t atomic distance

Summary

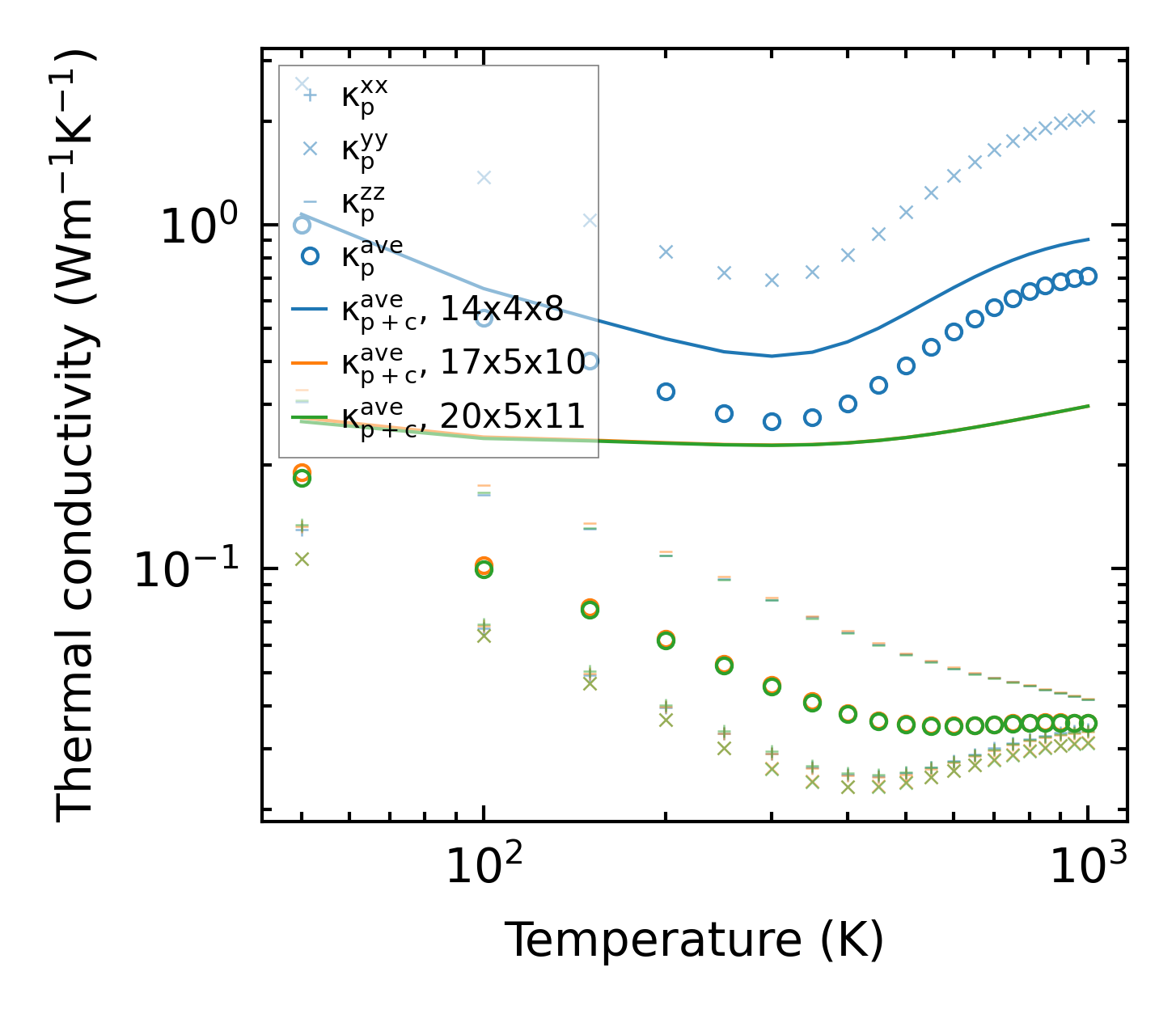
../../_images/fig_kappa4515.png

(a) Temperature-dependent lattice thermal conductivity

../../_images/fig_times10264.png

(b) Computation time