mp-627016/BaH2O2/anharm

Harmonic properties

../../_images/fig_bandos_pr5817.png

(a) Phonon dispersion with participation ratio and DOS

../../_images/fig_thermo5817.png

(b) Thermodynamic properties

Grüneisen parameters

../../_images/fig_gru_all2399.png

(a) Grüneisen parameters

../../_images/fig_gruneisen2399.png

(b) Phonon dispersion with Grüneisen parameters

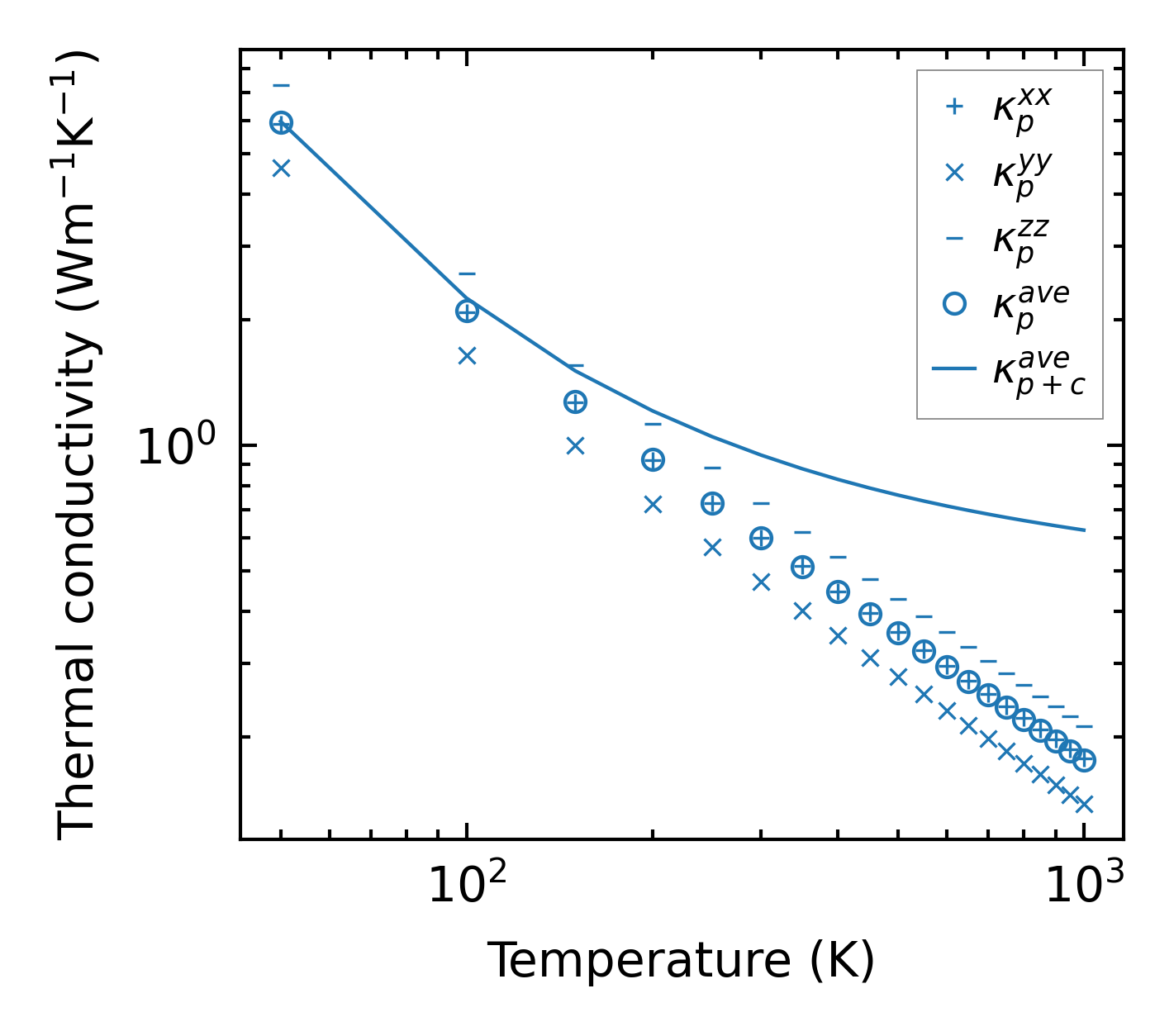
Thermal conductivity

3-phonon (LASSO) — q-mesh: 11x9x6, supercell: 2x1x1

../../_images/fig_kappa4572.png

(a) Temperature-dependent lattice thermal conductivity

../../_images/fig_kappa_vs_grain_size2430.png

(b) Peierls lattice thermal conductivity w.r.t grain size

Phonon lifetime and scattering rates

../../_images/fig_lifetime2383.png

(a) Phonon lifetime due to phonon-phonon scattering

../../_images/fig_scat_rates2382.png

(b) Phonon scattering rates

Cumulative and spectral thermal conductivity

../../_images/fig_cumu_frequency2383.png

(a) Spectral and cumulative thermal conductivity w.r.t frequency

../../_images/fig_cumu_mfp2383.png

(b) Spectral and cumulative thermal conductivity w.r.t MFP

Force constants

../../_images/fig_fc25613.png

(a) Force constants w.r.t atomic distance

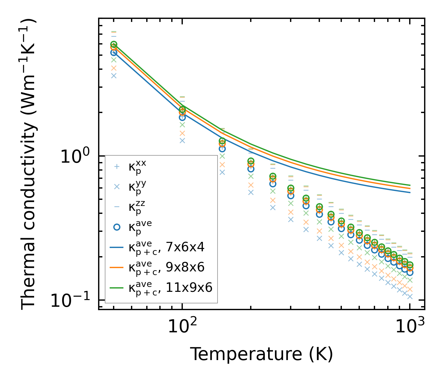
Summary

../../_images/fig_kappa4573.png

(a) Temperature-dependent lattice thermal conductivity

../../_images/fig_times10597.png

(b) Computation time