mp-623862/Rb3Tm2Cu4Br13/anharm

Harmonic properties

../../_images/fig_bandos_pr5839.png

(a) Phonon dispersion with participation ratio and DOS

../../_images/fig_thermo5839.png

(b) Thermodynamic properties

Grüneisen parameters

../../_images/fig_gru_all2404.png

(a) Grüneisen parameters

../../_images/fig_gruneisen2404.png

(b) Phonon dispersion with Grüneisen parameters

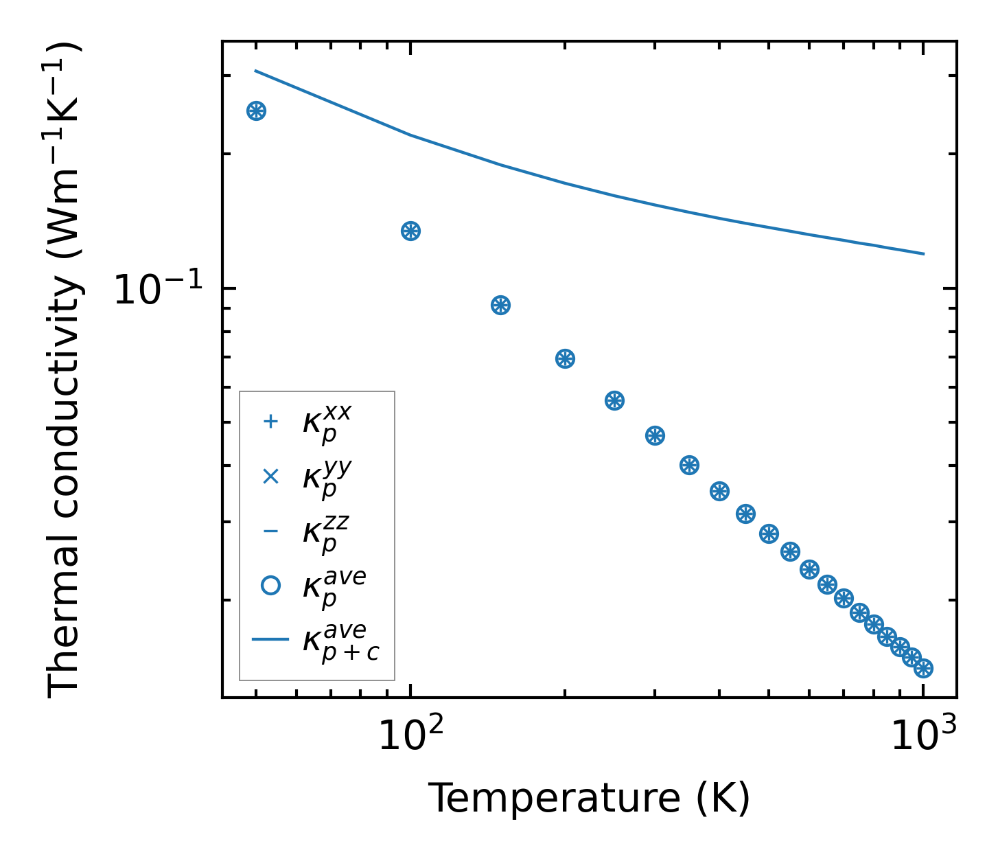
Thermal conductivity

3-phonon (LASSO) — q-mesh: 6x6x6, supercell: 1x1x1

../../_images/fig_kappa4579.png

(a) Temperature-dependent lattice thermal conductivity

../../_images/fig_kappa_vs_grain_size2435.png

(b) Peierls lattice thermal conductivity w.r.t grain size

Phonon lifetime and scattering rates

../../_images/fig_lifetime2388.png

(a) Phonon lifetime due to phonon-phonon scattering

../../_images/fig_scat_rates2387.png

(b) Phonon scattering rates

Cumulative and spectral thermal conductivity

../../_images/fig_cumu_frequency2388.png

(a) Spectral and cumulative thermal conductivity w.r.t frequency

../../_images/fig_cumu_mfp2388.png

(b) Spectral and cumulative thermal conductivity w.r.t MFP

Force constants

../../_images/fig_fc25635.png

(a) Force constants w.r.t atomic distance

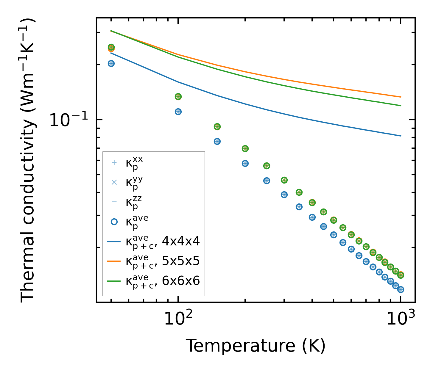
Summary

../../_images/fig_kappa4580.png

(a) Temperature-dependent lattice thermal conductivity

../../_images/fig_times10635.png

(b) Computation time