mp-622086/La2GeS5/anharm

Harmonic properties

../../_images/fig_bandos_pr6078.png

(a) Phonon dispersion with participation ratio and DOS

../../_images/fig_thermo6078.png

(b) Thermodynamic properties

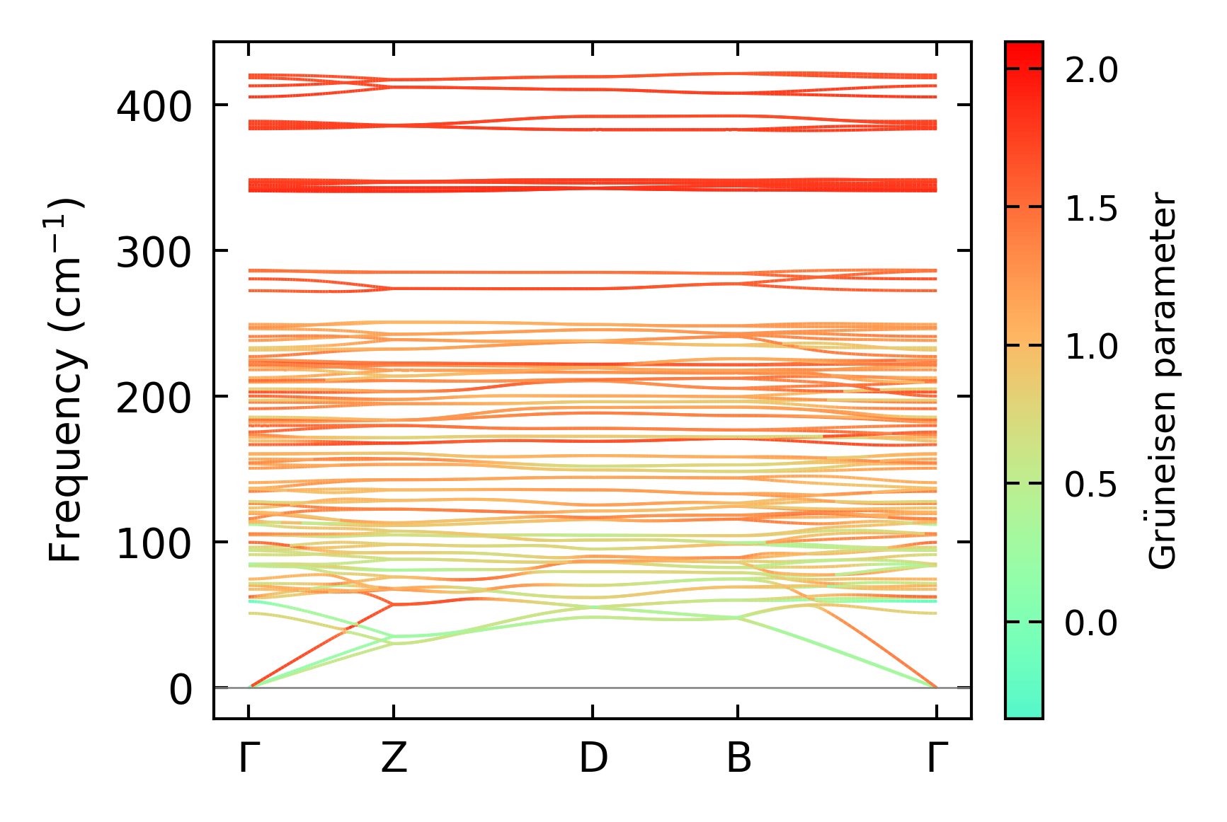
Grüneisen parameters

../../_images/fig_gru_all2467.png

(a) Grüneisen parameters

../../_images/fig_gruneisen2467.png

(b) Phonon dispersion with Grüneisen parameters

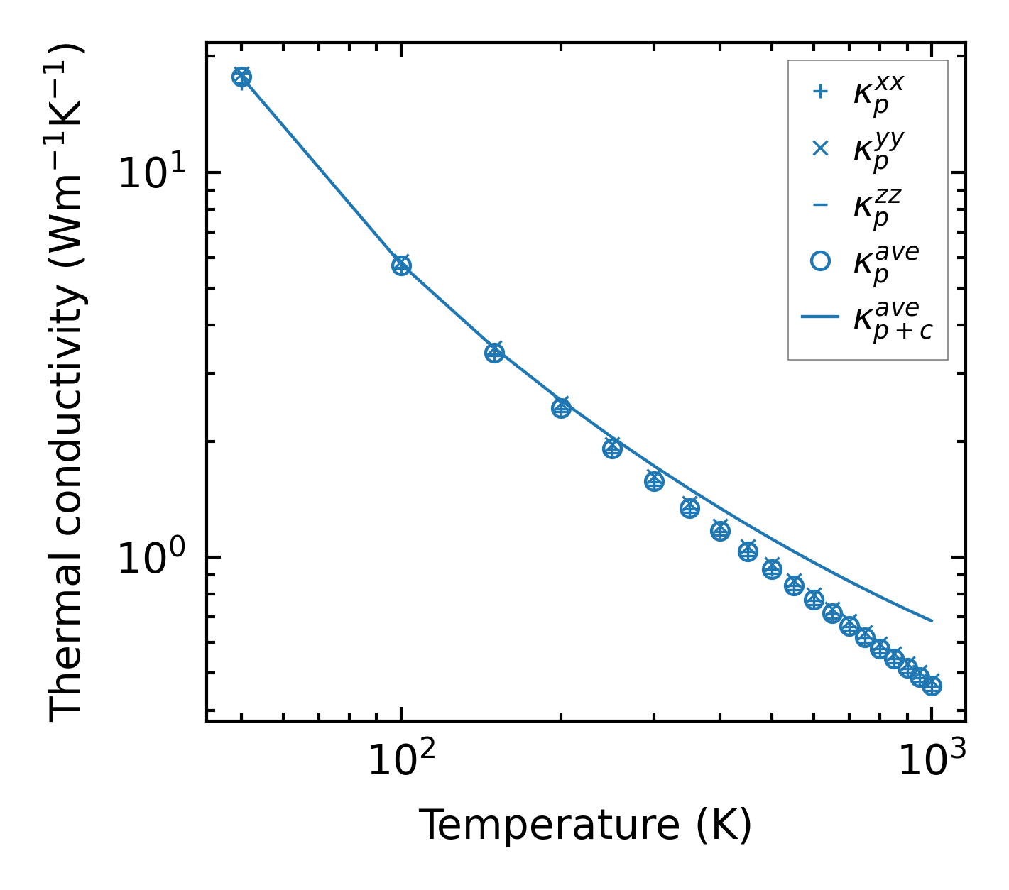
Thermal conductivity

3-phonon (LASSO) — q-mesh: 9x5x9, supercell: 2x1x2

../../_images/fig_kappa4695.png

(a) Temperature-dependent lattice thermal conductivity

../../_images/fig_kappa_vs_grain_size2498.png

(b) Peierls lattice thermal conductivity w.r.t grain size

Phonon lifetime and scattering rates

../../_images/fig_lifetime2450.png

(a) Phonon lifetime due to phonon-phonon scattering

../../_images/fig_scat_rates2449.png

(b) Phonon scattering rates

Cumulative and spectral thermal conductivity

../../_images/fig_cumu_frequency2450.png

(a) Spectral and cumulative thermal conductivity w.r.t frequency

../../_images/fig_cumu_mfp2449.png

(b) Spectral and cumulative thermal conductivity w.r.t MFP

Force constants

../../_images/fig_fc25869.png

(a) Force constants w.r.t atomic distance

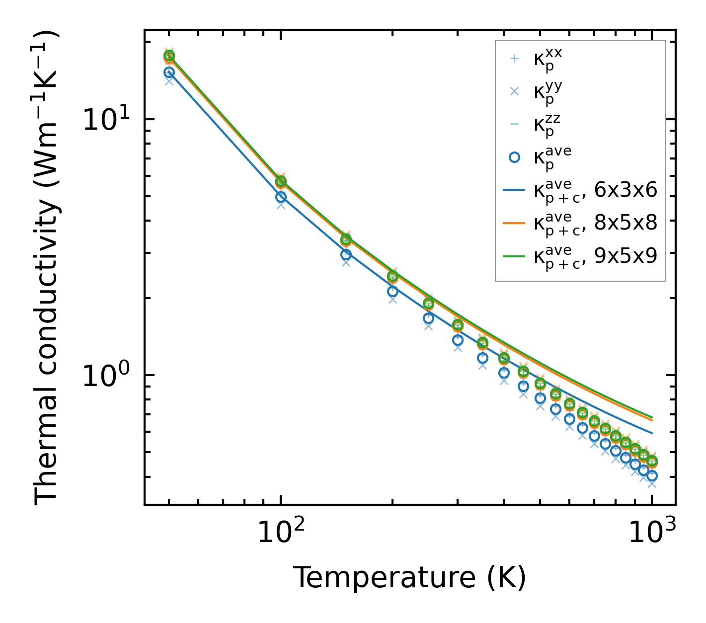
Summary

../../_images/fig_kappa4696.png

(a) Temperature-dependent lattice thermal conductivity

../../_images/fig_times11117.png

(b) Computation time