mp-604884-2/BN/anharm

Equation of state

../../_images/fig_bm3313.png

(a) Equation of state

Harmonic properties

../../_images/fig_bandos_pr6272.png

(a) Phonon dispersion with participation ratio and DOS

../../_images/fig_bandos9137.png

(b) Phonon dispersion and DOS

../../_images/fig_thermo6272.png

(c) Thermodynamic properties

Grüneisen parameters

../../_images/fig_gru_all2554.png

(a) Grüneisen parameters

../../_images/fig_gruneisen2554.png

(b) Phonon dispersion with Grüneisen parameters

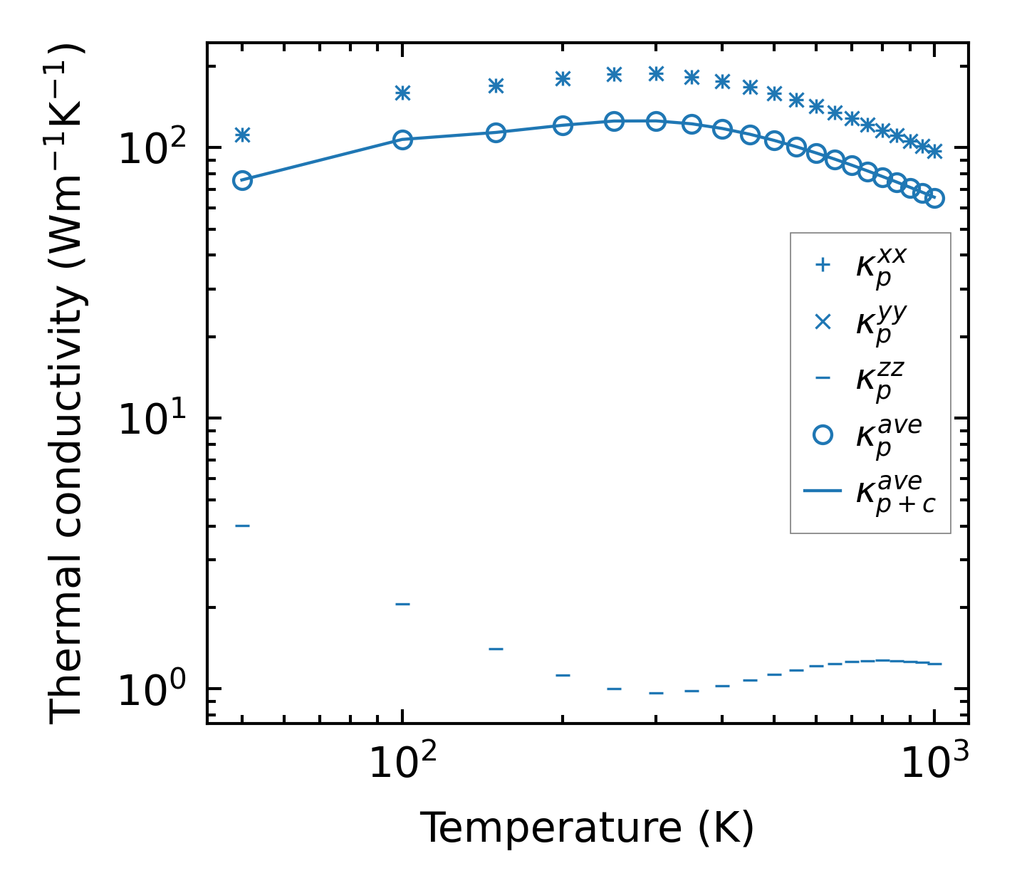
Thermal conductivity

3-phonon (LASSO), supercell 5x5x2 — q-mesh: 30x30x10, supercell: 5x5x2

../../_images/fig_kappa4861.png

(a) Temperature-dependent lattice thermal conductivity

../../_images/fig_kappa_vs_grain_size2588.png

(b) Peierls lattice thermal conductivity w.r.t grain size

Phonon lifetime and scattering rates

../../_images/fig_lifetime2535.png

(a) Phonon lifetime due to phonon-phonon scattering

../../_images/fig_scat_rates2534.png

(b) Phonon scattering rates

Cumulative and spectral thermal conductivity

../../_images/fig_cumu_frequency2535.png

(a) Spectral and cumulative thermal conductivity w.r.t frequency

../../_images/fig_cumu_mfp2534.png

(b) Spectral and cumulative thermal conductivity w.r.t MFP

Force constants

../../_images/fig_fc26062.png

(a) Force constants w.r.t atomic distance

Summary

../../_images/fig_times11383.png

(a) Computation time