mp-601867/Ba3Sn2P4/anharm

Harmonic properties

../../_images/fig_bandos_pr6257.png

(a) Phonon dispersion with participation ratio and DOS

../../_images/fig_thermo6257.png

(b) Thermodynamic properties

Grüneisen parameters

../../_images/fig_gru_all2551.png

(a) Grüneisen parameters

../../_images/fig_gruneisen2551.png

(b) Phonon dispersion with Grüneisen parameters

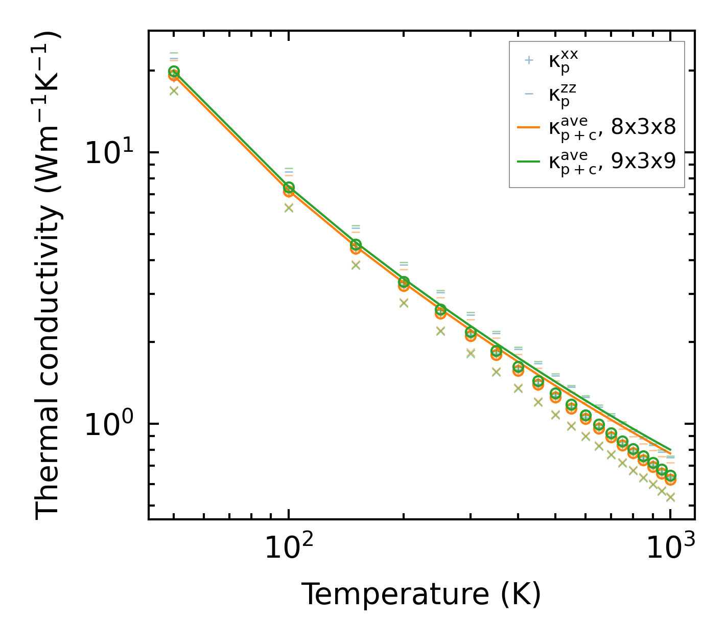
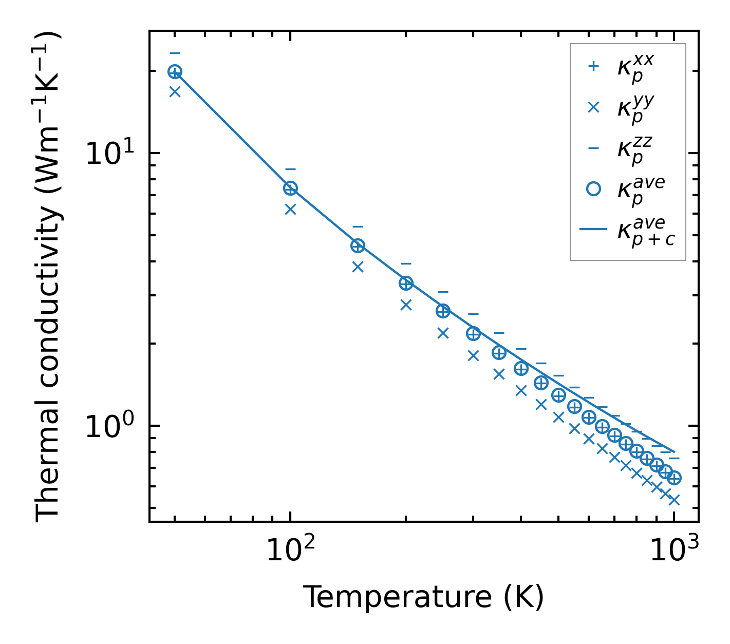
Thermal conductivity

3-phonon (LASSO) — q-mesh: 9x3x9, supercell: 2x1x2

../../_images/fig_kappa4856.png

(a) Temperature-dependent lattice thermal conductivity

../../_images/fig_kappa_vs_grain_size2585.png

(b) Peierls lattice thermal conductivity w.r.t grain size

Phonon lifetime and scattering rates

../../_images/fig_lifetime2532.png

(a) Phonon lifetime due to phonon-phonon scattering

../../_images/fig_scat_rates2531.png

(b) Phonon scattering rates

Cumulative and spectral thermal conductivity

../../_images/fig_cumu_frequency2532.png

(a) Spectral and cumulative thermal conductivity w.r.t frequency

../../_images/fig_cumu_mfp2531.png

(b) Spectral and cumulative thermal conductivity w.r.t MFP

Force constants

../../_images/fig_fc26047.png

(a) Force constants w.r.t atomic distance

Summary

../../_images/fig_kappa4857.png

(a) Temperature-dependent lattice thermal conductivity

../../_images/fig_times11357.png

(b) Computation time