mp-580748/Re3Se4Cl/anharm

Harmonic properties

../../_images/fig_bandos_pr6756.png

(a) Phonon dispersion with participation ratio and DOS

../../_images/fig_thermo6756.png

(b) Thermodynamic properties

Grüneisen parameters

../../_images/fig_gru_all2769.png

(a) Grüneisen parameters

../../_images/fig_gruneisen2769.png

(b) Phonon dispersion with Grüneisen parameters

Thermal conductivity

3-phonon (LASSO) — q-mesh: 11x11x8, supercell: 2x2x2

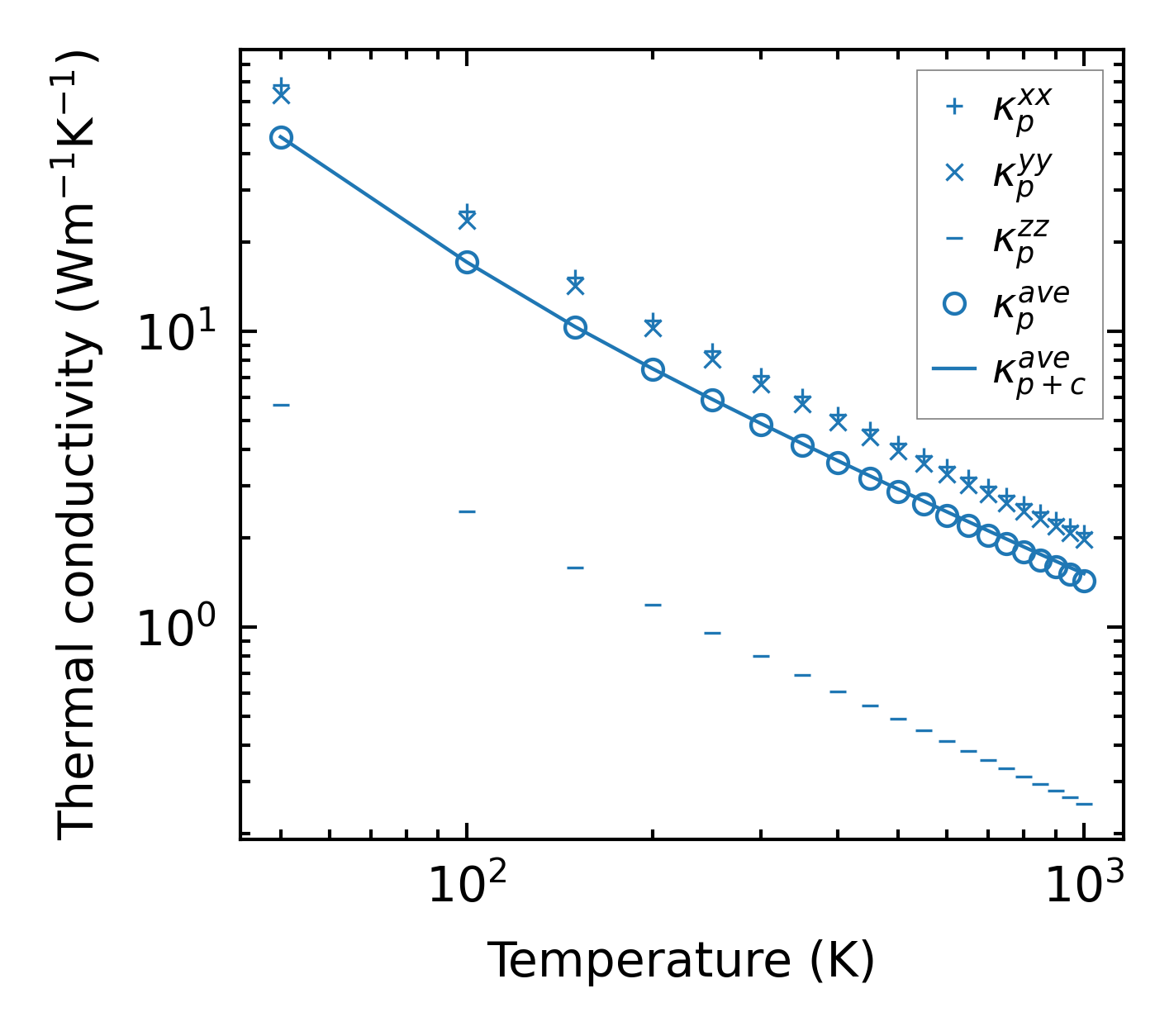
../../_images/fig_kappa5263.png

(a) Temperature-dependent lattice thermal conductivity

../../_images/fig_kappa_vs_grain_size2810.png

(b) Peierls lattice thermal conductivity w.r.t grain size

Phonon lifetime and scattering rates

../../_images/fig_lifetime2745.png

(a) Phonon lifetime due to phonon-phonon scattering

../../_images/fig_scat_rates2744.png

(b) Phonon scattering rates

Cumulative and spectral thermal conductivity

../../_images/fig_cumu_frequency2745.png

(a) Spectral and cumulative thermal conductivity w.r.t frequency

../../_images/fig_cumu_mfp2744.png

(b) Spectral and cumulative thermal conductivity w.r.t MFP

Force constants

../../_images/fig_fc26544.png

(a) Force constants w.r.t atomic distance

Summary

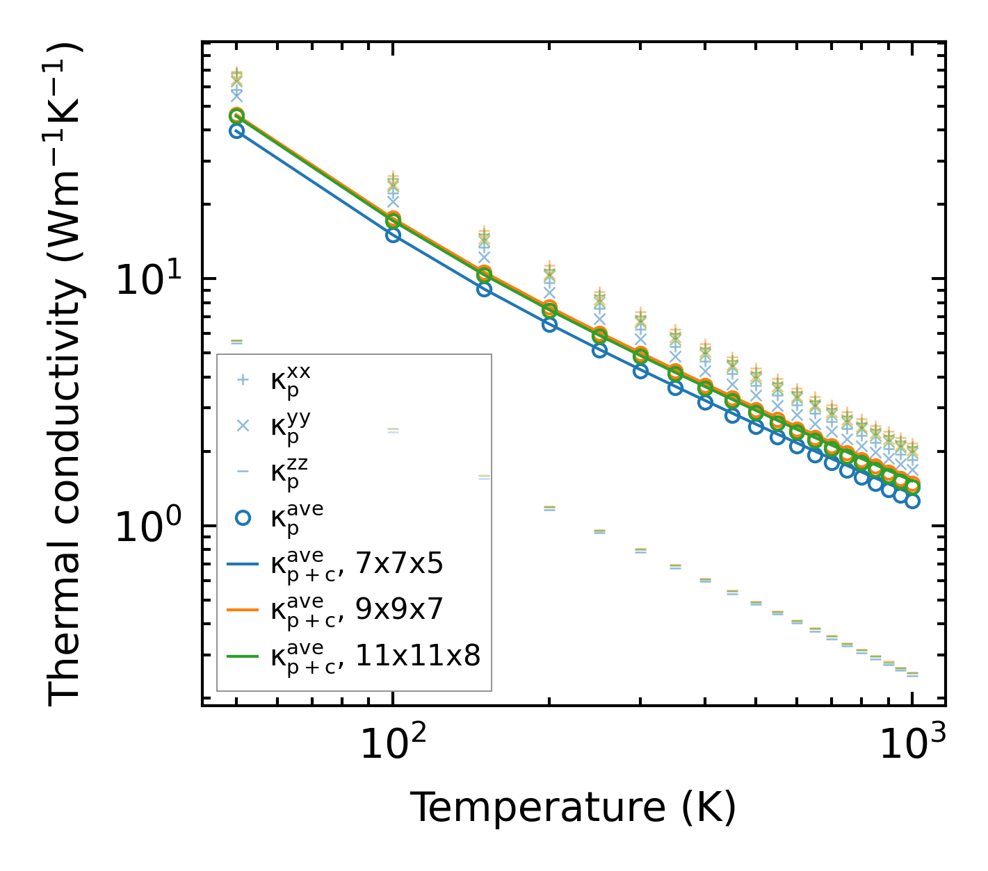
../../_images/fig_kappa5264.png

(a) Temperature-dependent lattice thermal conductivity

../../_images/fig_times12128.png

(b) Computation time