mp-578629/BaIn2O4/anharm

Harmonic properties

../../_images/fig_bandos_pr6744.png

(a) Phonon dispersion with participation ratio and DOS

../../_images/fig_thermo6744.png

(b) Thermodynamic properties

Grüneisen parameters

../../_images/fig_gru_all2763.png

(a) Grüneisen parameters

../../_images/fig_gruneisen2763.png

(b) Phonon dispersion with Grüneisen parameters

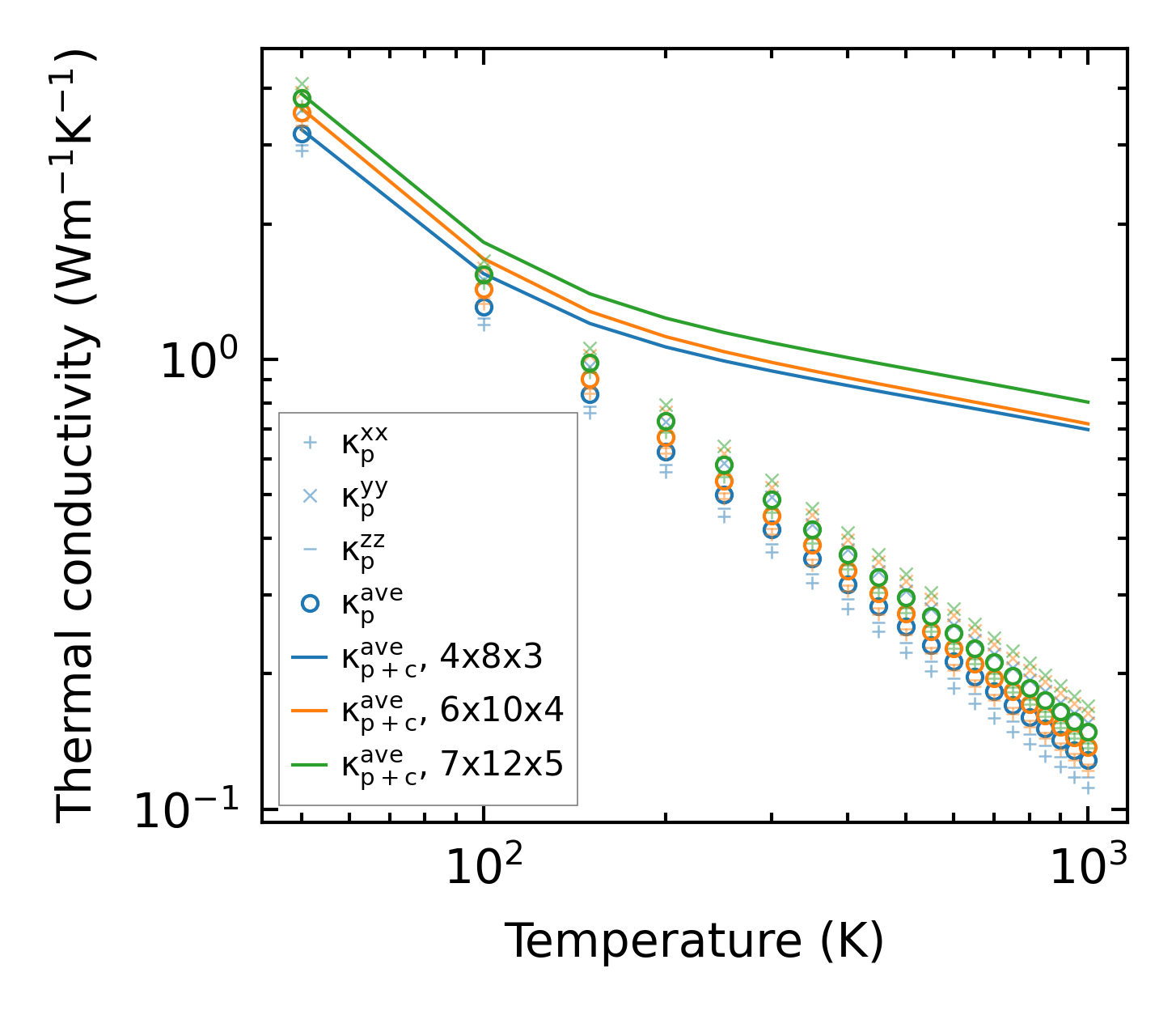
Thermal conductivity

3-phonon (LASSO) — q-mesh: 7x12x5, supercell: 1x2x1

../../_images/fig_kappa5251.png

(a) Temperature-dependent lattice thermal conductivity

../../_images/fig_kappa_vs_grain_size2804.png

(b) Peierls lattice thermal conductivity w.r.t grain size

Phonon lifetime and scattering rates

../../_images/fig_lifetime2739.png

(a) Phonon lifetime due to phonon-phonon scattering

../../_images/fig_scat_rates2738.png

(b) Phonon scattering rates

Cumulative and spectral thermal conductivity

../../_images/fig_cumu_frequency2739.png

(a) Spectral and cumulative thermal conductivity w.r.t frequency

../../_images/fig_cumu_mfp2738.png

(b) Spectral and cumulative thermal conductivity w.r.t MFP

Force constants

../../_images/fig_fc26533.png

(a) Force constants w.r.t atomic distance

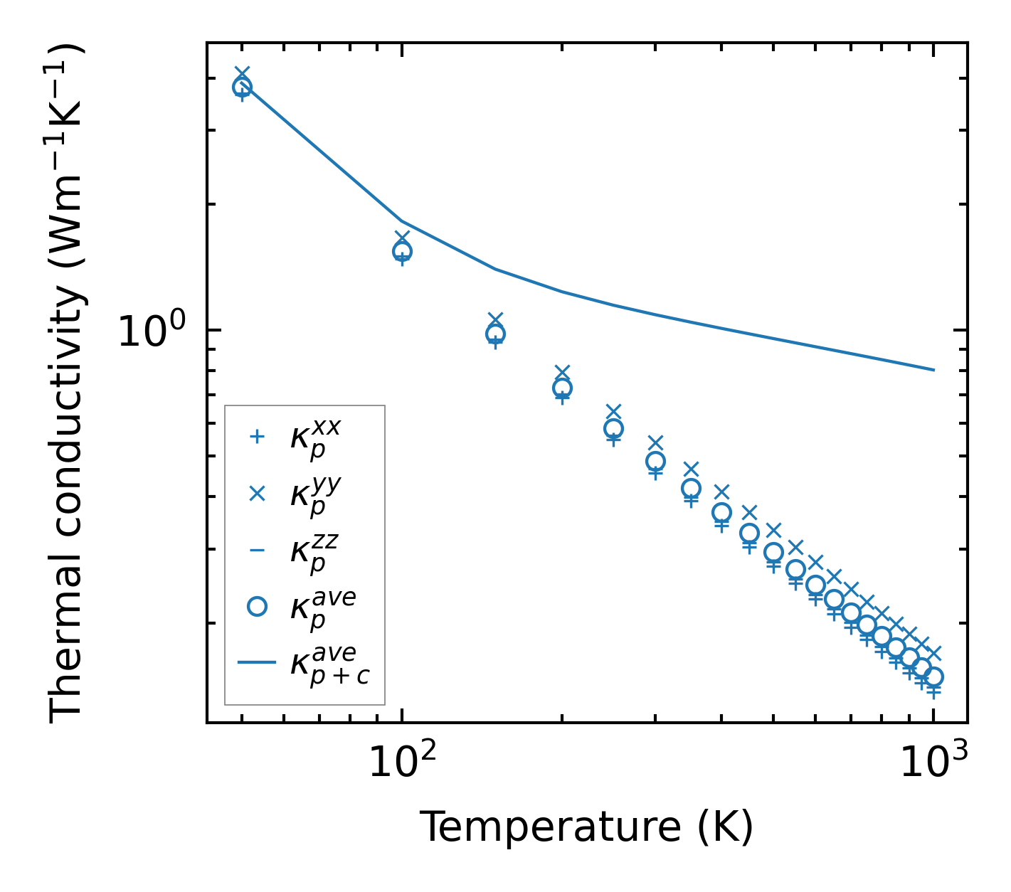
Summary

../../_images/fig_kappa5252.png

(a) Temperature-dependent lattice thermal conductivity

../../_images/fig_times12112.png

(b) Computation time