mp-548469/BaZnSO/anharm

Harmonic properties

../../_images/fig_bandos_pr9084.png

(a) Phonon dispersion with participation ratio and DOS

../../_images/fig_thermo9084.png

(b) Thermodynamic properties

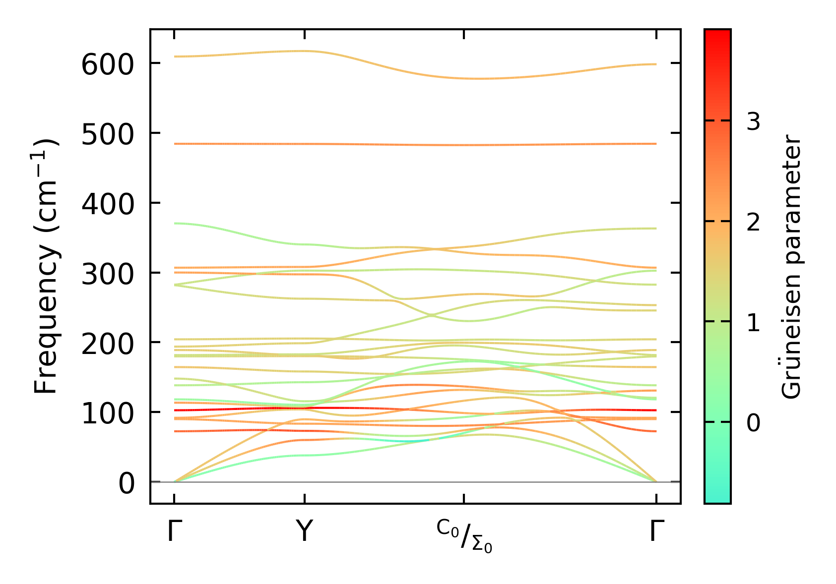
Grüneisen parameters

../../_images/fig_gru_all3614.png

(a) Grüneisen parameters

../../_images/fig_gruneisen3614.png

(b) Phonon dispersion with Grüneisen parameters

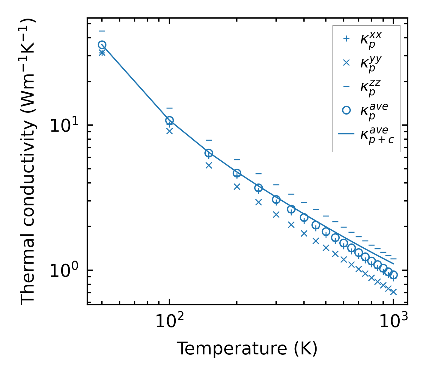
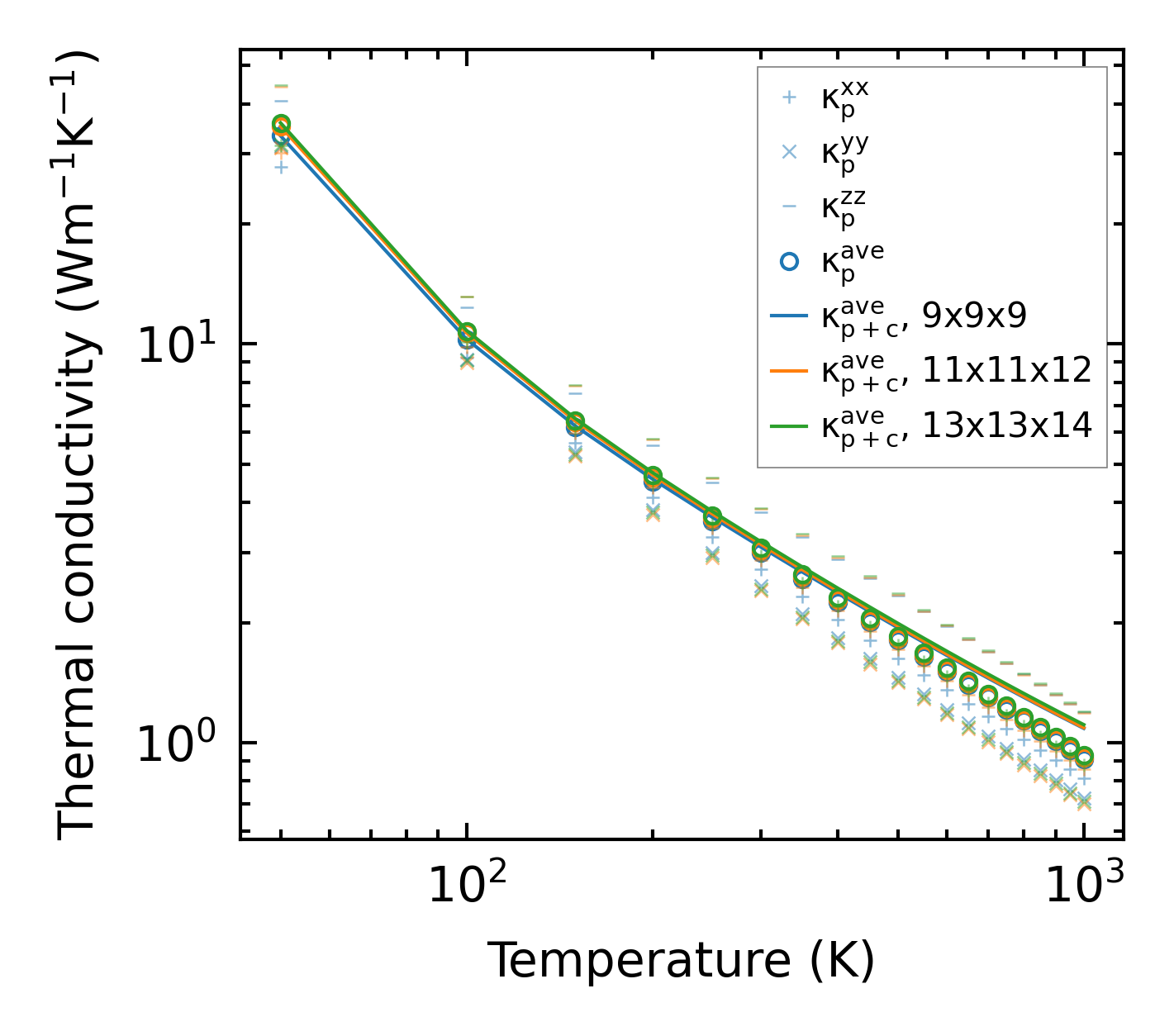
Thermal conductivity

3-phonon (LASSO) — q-mesh: 13x13x14, supercell: 4x1x2

../../_images/fig_kappa6824.png

(a) Temperature-dependent lattice thermal conductivity

../../_images/fig_kappa_vs_grain_size3662.png

(b) Peierls lattice thermal conductivity w.r.t grain size

Phonon lifetime and scattering rates

../../_images/fig_lifetime3580.png

(a) Phonon lifetime due to phonon-phonon scattering

../../_images/fig_scat_rates3579.png

(b) Phonon scattering rates

Cumulative and spectral thermal conductivity

../../_images/fig_cumu_frequency3580.png

(a) Spectral and cumulative thermal conductivity w.r.t frequency

../../_images/fig_cumu_mfp3579.png

(b) Spectral and cumulative thermal conductivity w.r.t MFP

Force constants

../../_images/fig_fc28846.png

(a) Force constants w.r.t atomic distance

Summary

../../_images/fig_kappa6825.png

(a) Temperature-dependent lattice thermal conductivity

../../_images/fig_times15896.png

(b) Computation time