mp-534870/Na4Ga3Si3BH4O12/anharm

Harmonic properties

../../_images/fig_bandos_pr9675.png

(a) Phonon dispersion with participation ratio and DOS

../../_images/fig_thermo9675.png

(b) Thermodynamic properties

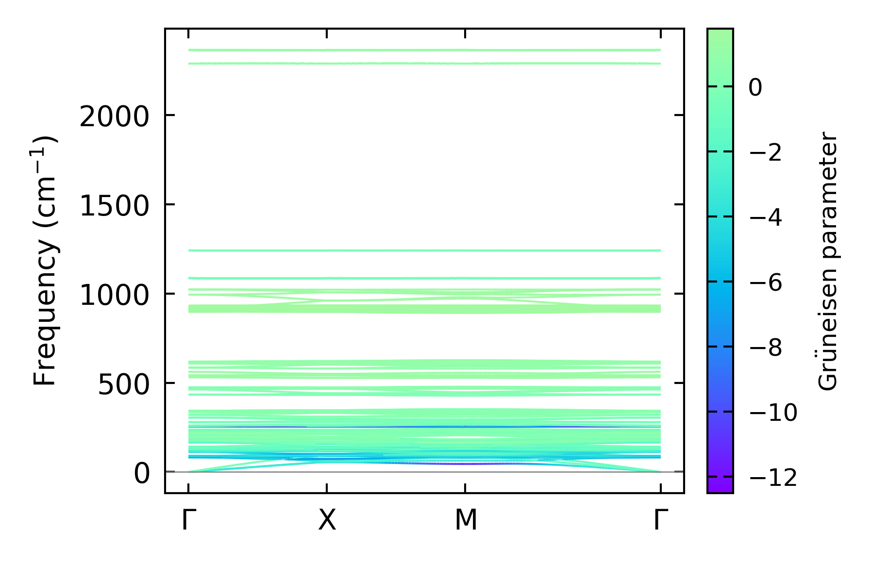
Grüneisen parameters

../../_images/fig_gru_all3862.png

(a) Grüneisen parameters

../../_images/fig_gruneisen3862.png

(b) Phonon dispersion with Grüneisen parameters

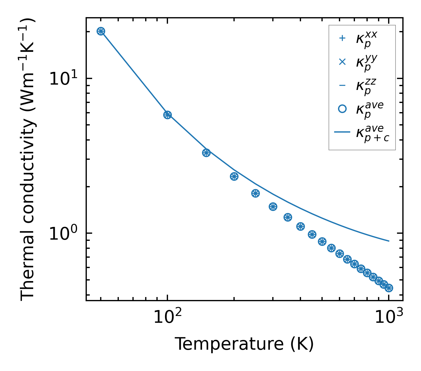
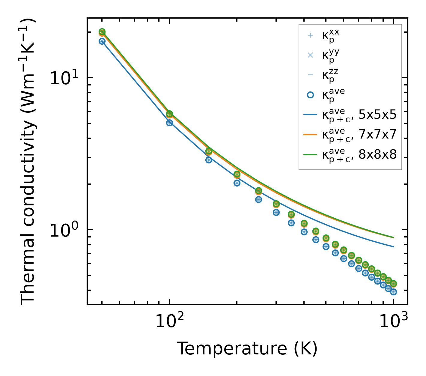
Thermal conductivity

3-phonon (LASSO) — q-mesh: 8x8x8, supercell: 1x1x1

../../_images/fig_kappa7277.png

(a) Temperature-dependent lattice thermal conductivity

../../_images/fig_kappa_vs_grain_size3910.png

(b) Peierls lattice thermal conductivity w.r.t grain size

Phonon lifetime and scattering rates

../../_images/fig_lifetime3826.png

(a) Phonon lifetime due to phonon-phonon scattering

../../_images/fig_scat_rates3825.png

(b) Phonon scattering rates

Cumulative and spectral thermal conductivity

../../_images/fig_cumu_frequency3826.png

(a) Spectral and cumulative thermal conductivity w.r.t frequency

../../_images/fig_cumu_mfp3825.png

(b) Spectral and cumulative thermal conductivity w.r.t MFP

Force constants

../../_images/fig_fc29436.png

(a) Force constants w.r.t atomic distance

Summary

../../_images/fig_kappa7278.png

(a) Temperature-dependent lattice thermal conductivity

../../_images/fig_times16826.png

(b) Computation time