mp-531265/Ca3B2N4/anharm

Harmonic properties

../../_images/fig_bandos_pr9649.png

(a) Phonon dispersion with participation ratio and DOS

../../_images/fig_thermo9649.png

(b) Thermodynamic properties

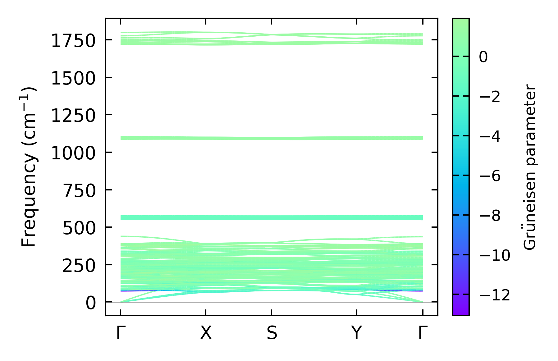
Grüneisen parameters

../../_images/fig_gru_all3854.png

(a) Grüneisen parameters

../../_images/fig_gruneisen3854.png

(b) Phonon dispersion with Grüneisen parameters

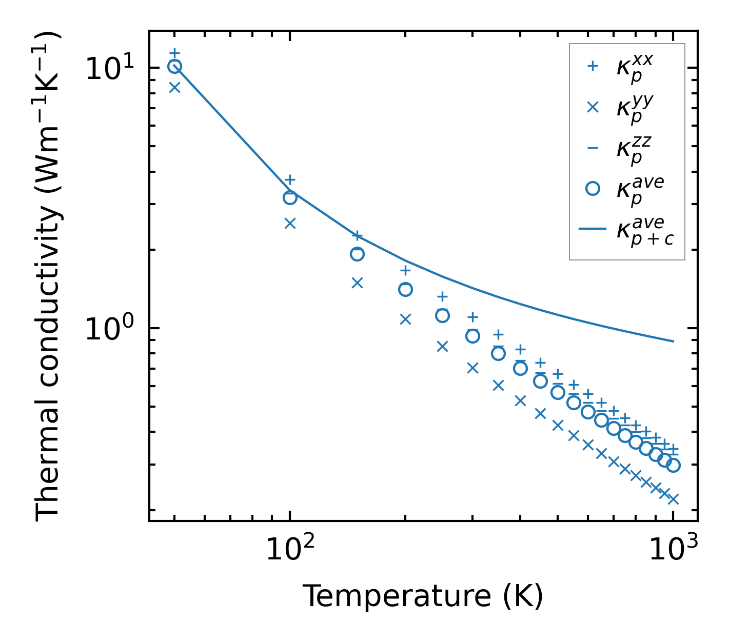
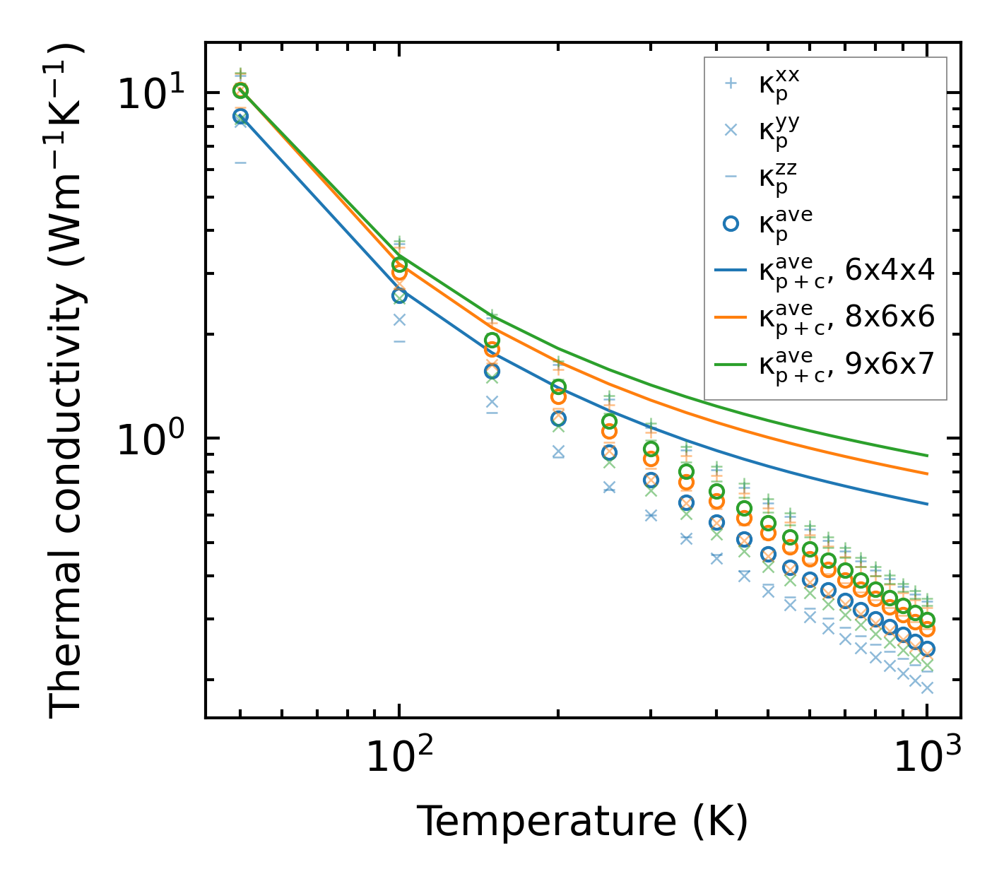
Thermal conductivity

3-phonon (LASSO) — q-mesh: 9x6x7, supercell: 2x1x1

../../_images/fig_kappa7266.png

(a) Temperature-dependent lattice thermal conductivity

../../_images/fig_kappa_vs_grain_size3903.png

(b) Peierls lattice thermal conductivity w.r.t grain size

Phonon lifetime and scattering rates

../../_images/fig_lifetime3819.png

(a) Phonon lifetime due to phonon-phonon scattering

../../_images/fig_scat_rates3818.png

(b) Phonon scattering rates

Cumulative and spectral thermal conductivity

../../_images/fig_cumu_frequency3819.png

(a) Spectral and cumulative thermal conductivity w.r.t frequency

../../_images/fig_cumu_mfp3818.png

(b) Spectral and cumulative thermal conductivity w.r.t MFP

Force constants

../../_images/fig_fc29410.png

(a) Force constants w.r.t atomic distance

Summary

../../_images/fig_kappa7267.png

(a) Temperature-dependent lattice thermal conductivity

../../_images/fig_times16779.png

(b) Computation time