mp-530709-2/TlW3Br7/anharm

Equation of state

../../_images/fig_bm4808.png

(a) Equation of state

Harmonic properties

../../_images/fig_bandos_pr9637.png

(a) Phonon dispersion with participation ratio and DOS

../../_images/fig_thermo9637.png

(b) Thermodynamic properties

Grüneisen parameters

../../_images/fig_gru_all3850.png

(a) Grüneisen parameters

../../_images/fig_gruneisen3850.png

(b) Phonon dispersion with Grüneisen parameters

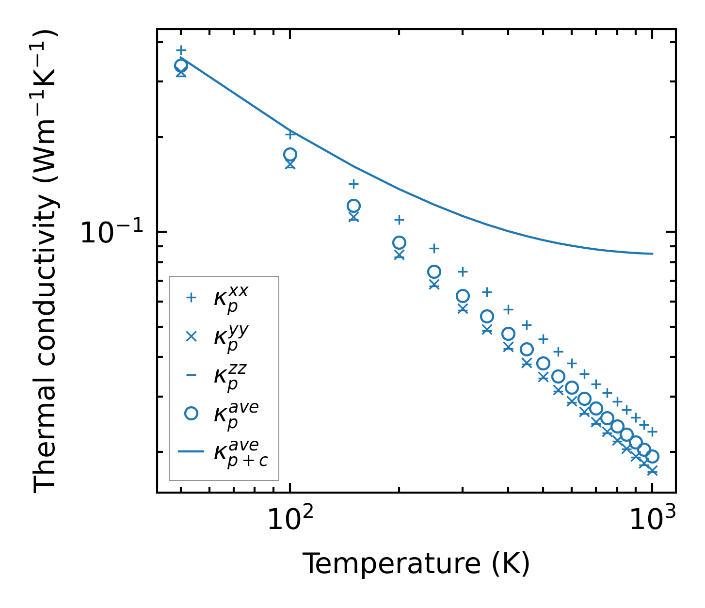
Thermal conductivity

3-phonon (LASSO) — q-mesh: 5x5x5, supercell: 1x1x1

../../_images/fig_kappa7259.png

(a) Temperature-dependent lattice thermal conductivity

../../_images/fig_kappa_vs_grain_size3899.png

(b) Peierls lattice thermal conductivity w.r.t grain size

Phonon lifetime and scattering rates

../../_images/fig_lifetime3815.png

(a) Phonon lifetime due to phonon-phonon scattering

../../_images/fig_scat_rates3814.png

(b) Phonon scattering rates

Cumulative and spectral thermal conductivity

../../_images/fig_cumu_frequency3815.png

(a) Spectral and cumulative thermal conductivity w.r.t frequency

../../_images/fig_cumu_mfp3814.png

(b) Spectral and cumulative thermal conductivity w.r.t MFP

Force constants

../../_images/fig_fc29398.png

(a) Force constants w.r.t atomic distance

Summary

../../_images/fig_kappa7260.png

(a) Temperature-dependent lattice thermal conductivity

../../_images/fig_times16756.png

(b) Computation time