mp-510549/K3B12H12Br/anharm

Harmonic properties

../../_images/fig_bandos_pr9615.png

(a) Phonon dispersion with participation ratio and DOS

../../_images/fig_thermo9615.png

(b) Thermodynamic properties

Grüneisen parameters

../../_images/fig_gru_all3841.png

(a) Grüneisen parameters

../../_images/fig_gruneisen3841.png

(b) Phonon dispersion with Grüneisen parameters

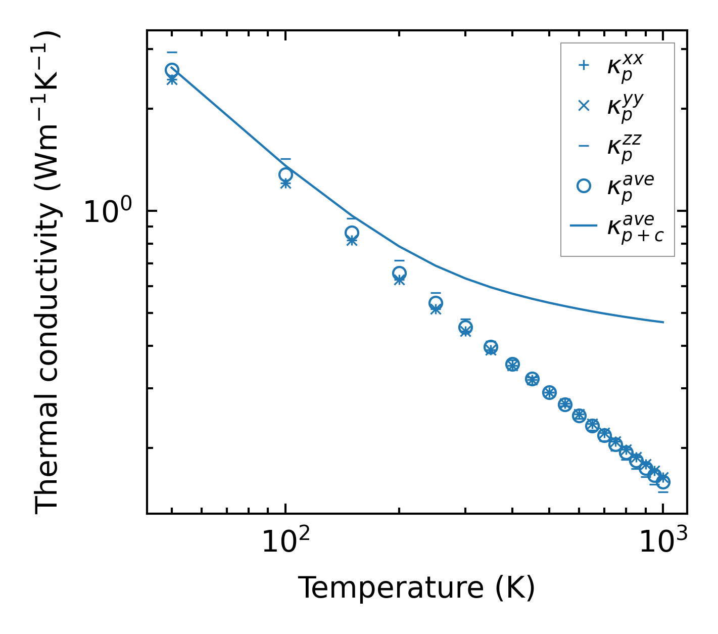
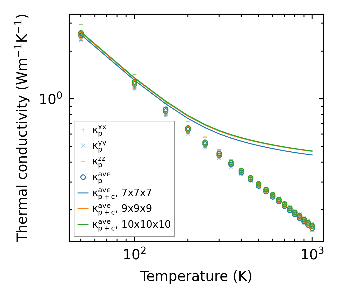
Thermal conductivity

3-phonon (LASSO) — q-mesh: 10x10x10, supercell: 1x1x1

../../_images/fig_kappa7244.png

(a) Temperature-dependent lattice thermal conductivity

../../_images/fig_kappa_vs_grain_size3890.png

(b) Peierls lattice thermal conductivity w.r.t grain size

Phonon lifetime and scattering rates

../../_images/fig_lifetime3806.png

(a) Phonon lifetime due to phonon-phonon scattering

../../_images/fig_scat_rates3805.png

(b) Phonon scattering rates

Cumulative and spectral thermal conductivity

../../_images/fig_cumu_frequency3806.png

(a) Spectral and cumulative thermal conductivity w.r.t frequency

../../_images/fig_cumu_mfp3805.png

(b) Spectral and cumulative thermal conductivity w.r.t MFP

Force constants

../../_images/fig_fc29376.png

(a) Force constants w.r.t atomic distance

Summary

../../_images/fig_kappa7245.png

(a) Temperature-dependent lattice thermal conductivity

../../_images/fig_times16713.png

(b) Computation time