mp-41795/LiAlPO4F/anharm

Harmonic properties

../../_images/fig_bandos_pr10199.png

(a) Phonon dispersion with participation ratio and DOS

../../_images/fig_thermo10199.png

(b) Thermodynamic properties

Grüneisen parameters

../../_images/fig_gru_all4120.png

(a) Grüneisen parameters

../../_images/fig_gruneisen4120.png

(b) Phonon dispersion with Grüneisen parameters

Thermal conductivity

3-phonon (LASSO) — q-mesh: 14x14x10, supercell: 2x2x2

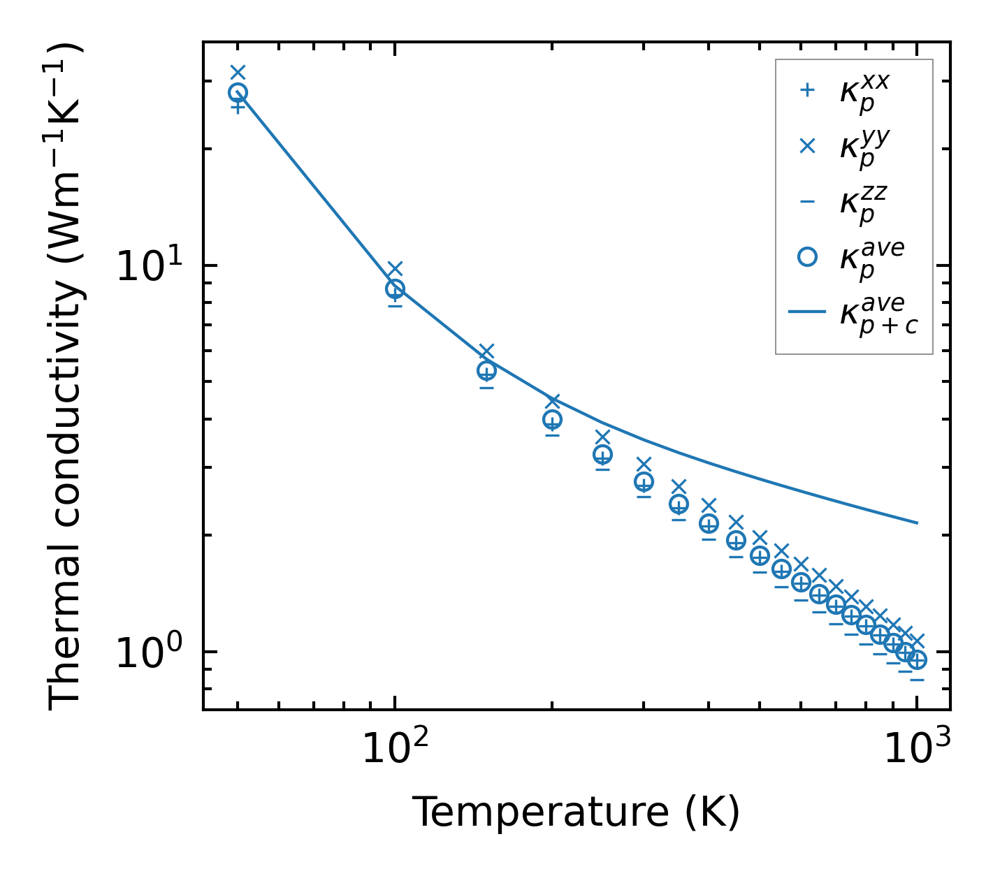
../../_images/fig_kappa7767.png

(a) Temperature-dependent lattice thermal conductivity

../../_images/fig_kappa_vs_grain_size4175.png

(b) Peierls lattice thermal conductivity w.r.t grain size

Phonon lifetime and scattering rates

../../_images/fig_lifetime4082.png

(a) Phonon lifetime due to phonon-phonon scattering

../../_images/fig_scat_rates4081.png

(b) Phonon scattering rates

Cumulative and spectral thermal conductivity

../../_images/fig_cumu_frequency4082.png

(a) Spectral and cumulative thermal conductivity w.r.t frequency

../../_images/fig_cumu_mfp4081.png

(b) Spectral and cumulative thermal conductivity w.r.t MFP

Force constants

../../_images/fig_fc29950.png

(a) Force constants w.r.t atomic distance

Summary

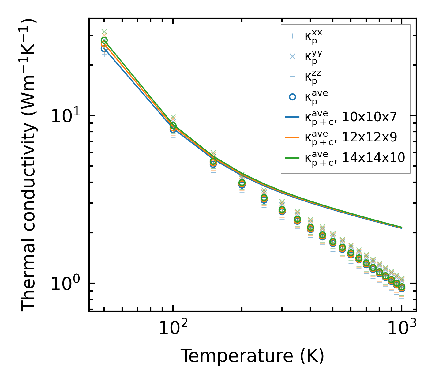
../../_images/fig_kappa7768.png

(a) Temperature-dependent lattice thermal conductivity

../../_images/fig_times17654.png

(b) Computation time