mp-25301-2/TiSi2O6/anharm

Equation of state

../../_images/fig_bm6004.png

(a) Equation of state

Harmonic properties

../../_images/fig_bandos_pr12212.png

(a) Phonon dispersion with participation ratio and DOS

../../_images/fig_bandos16353.png

(b) Phonon dispersion and DOS

../../_images/fig_thermo12212.png

(c) Thermodynamic properties

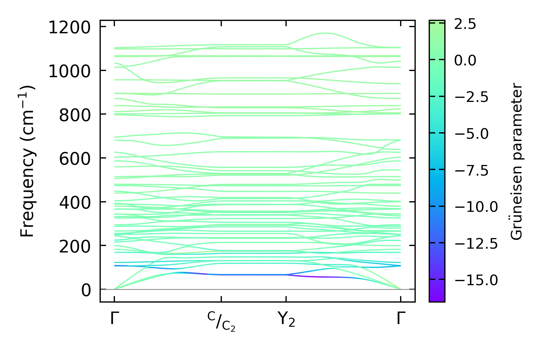
Grüneisen parameters

../../_images/fig_gru_all5101.png

(a) Grüneisen parameters

../../_images/fig_gruneisen5101.png

(b) Phonon dispersion with Grüneisen parameters

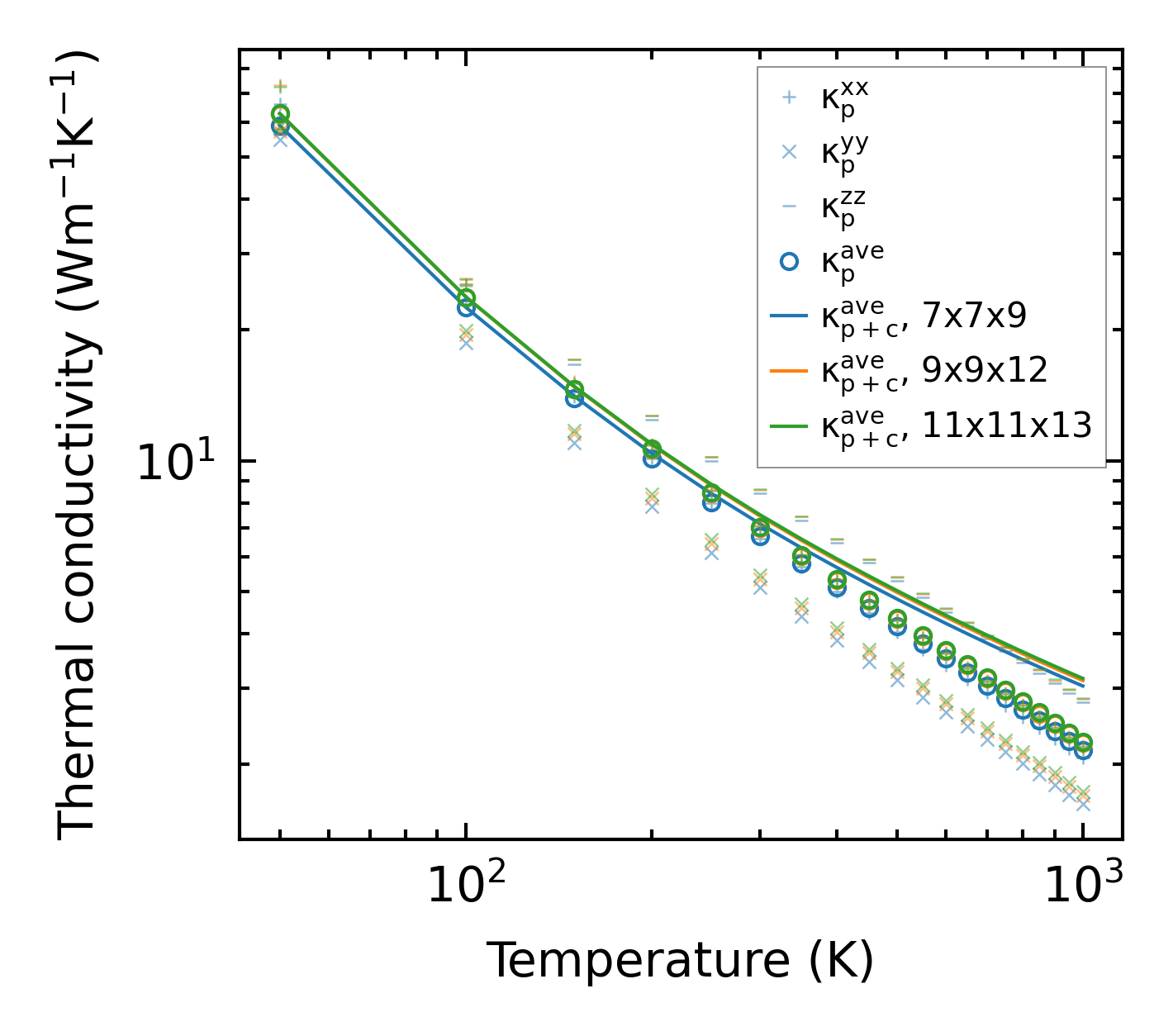
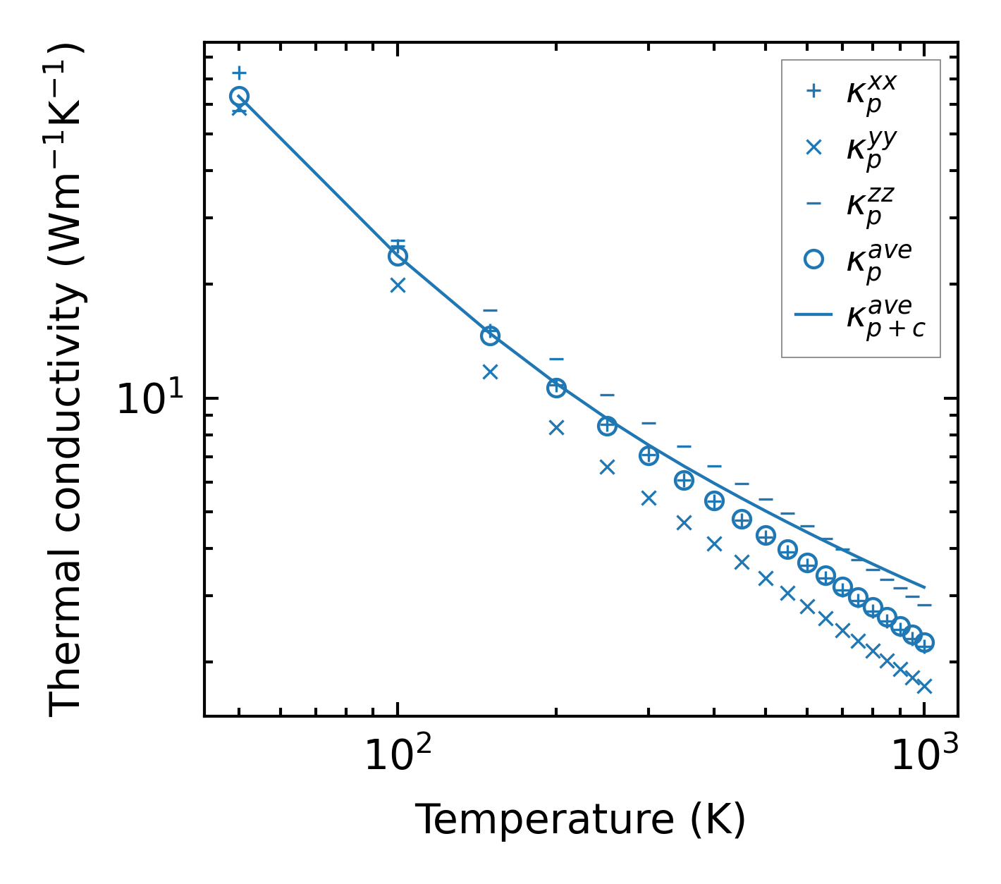
Thermal conductivity

3-phonon (LASSO) — q-mesh: 11x11x13, supercell: 1x2x2

../../_images/fig_kappa9599.png

(a) Temperature-dependent lattice thermal conductivity

../../_images/fig_kappa_vs_grain_size5160.png

(b) Peierls lattice thermal conductivity w.r.t grain size

Phonon lifetime and scattering rates

../../_images/fig_lifetime5050.png

(a) Phonon lifetime due to phonon-phonon scattering

../../_images/fig_scat_rates5049.png

(b) Phonon scattering rates

Cumulative and spectral thermal conductivity

../../_images/fig_cumu_frequency5050.png

(a) Spectral and cumulative thermal conductivity w.r.t frequency

../../_images/fig_cumu_mfp5049.png

(b) Spectral and cumulative thermal conductivity w.r.t MFP

Force constants

../../_images/fig_fc211911.png

(a) Force constants w.r.t atomic distance

Summary

../../_images/fig_kappa9600.png

(a) Temperature-dependent lattice thermal conductivity

../../_images/fig_times20710.png

(b) Computation time