mp-1443117/Ca2CuN2/anharm

Harmonic properties

../../_images/fig_bandos_pr14577.png

(a) Phonon dispersion with participation ratio and DOS

../../_images/fig_thermo14577.png

(b) Thermodynamic properties

Grüneisen parameters

../../_images/fig_gru_all6239.png

(a) Grüneisen parameters

../../_images/fig_gruneisen6239.png

(b) Phonon dispersion with Grüneisen parameters

Thermal conductivity

3-phonon (LASSO) — q-mesh: 14x14x12, supercell: 1x3x2

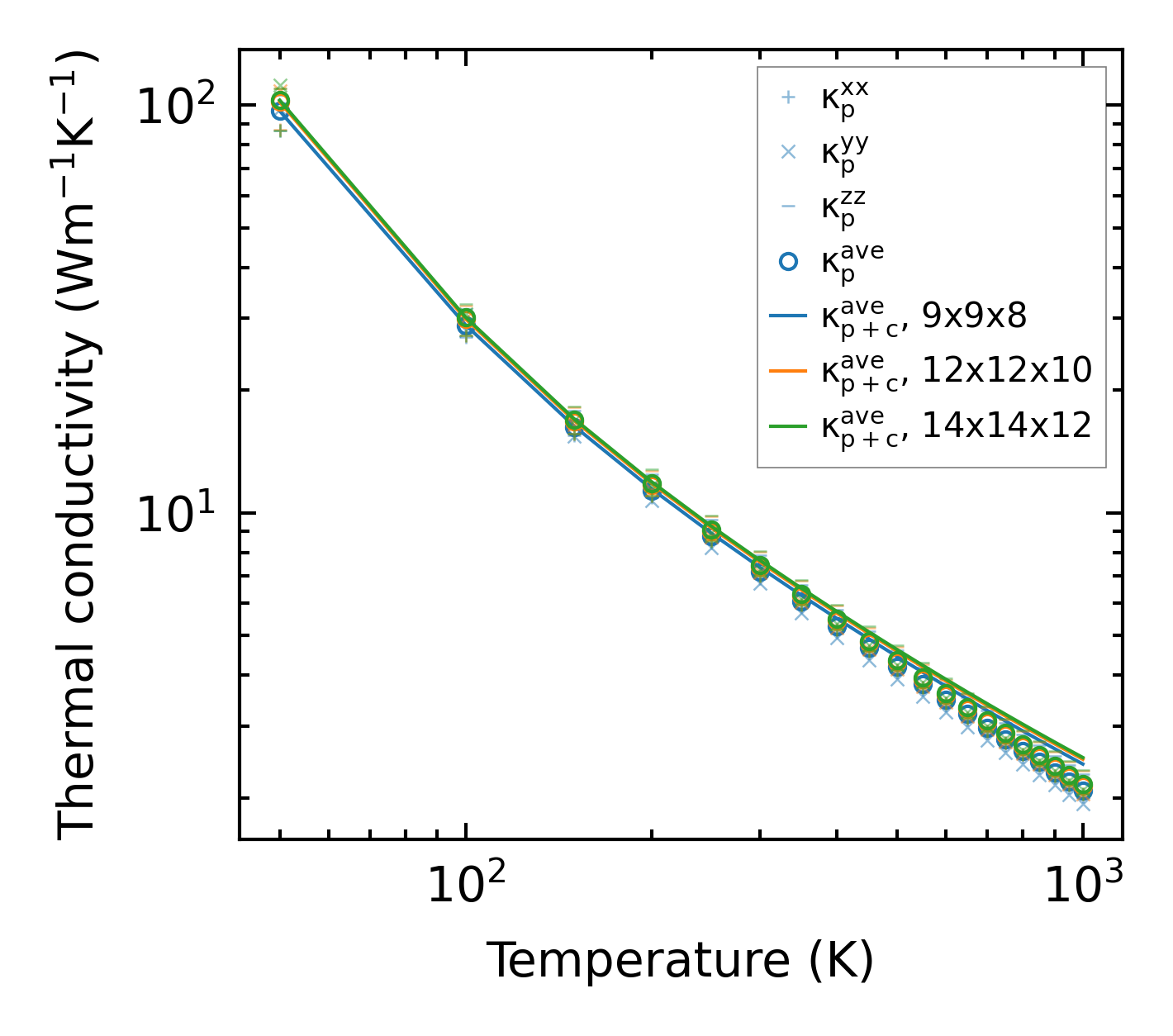
../../_images/fig_kappa11737.png

(a) Temperature-dependent lattice thermal conductivity

../../_images/fig_kappa_vs_grain_size6316.png

(b) Peierls lattice thermal conductivity w.r.t grain size

Phonon lifetime and scattering rates

../../_images/fig_lifetime6177.png

(a) Phonon lifetime due to phonon-phonon scattering

../../_images/fig_scat_rates6176.png

(b) Phonon scattering rates

Cumulative and spectral thermal conductivity

../../_images/fig_cumu_frequency6177.png

(a) Spectral and cumulative thermal conductivity w.r.t frequency

../../_images/fig_cumu_mfp6176.png

(b) Spectral and cumulative thermal conductivity w.r.t MFP

Force constants

../../_images/fig_fc214196.png

(a) Force constants w.r.t atomic distance

Summary

../../_images/fig_kappa11738.png

(a) Temperature-dependent lattice thermal conductivity

../../_images/fig_times24258.png

(b) Computation time