mp-1423122/Rb2SnTe5/anharm

Harmonic properties

../../_images/fig_bandos_pr14575.png

(a) Phonon dispersion with participation ratio and DOS

../../_images/fig_thermo14575.png

(b) Thermodynamic properties

Grüneisen parameters

../../_images/fig_gru_all6238.png

(a) Grüneisen parameters

../../_images/fig_gruneisen6238.png

(b) Phonon dispersion with Grüneisen parameters

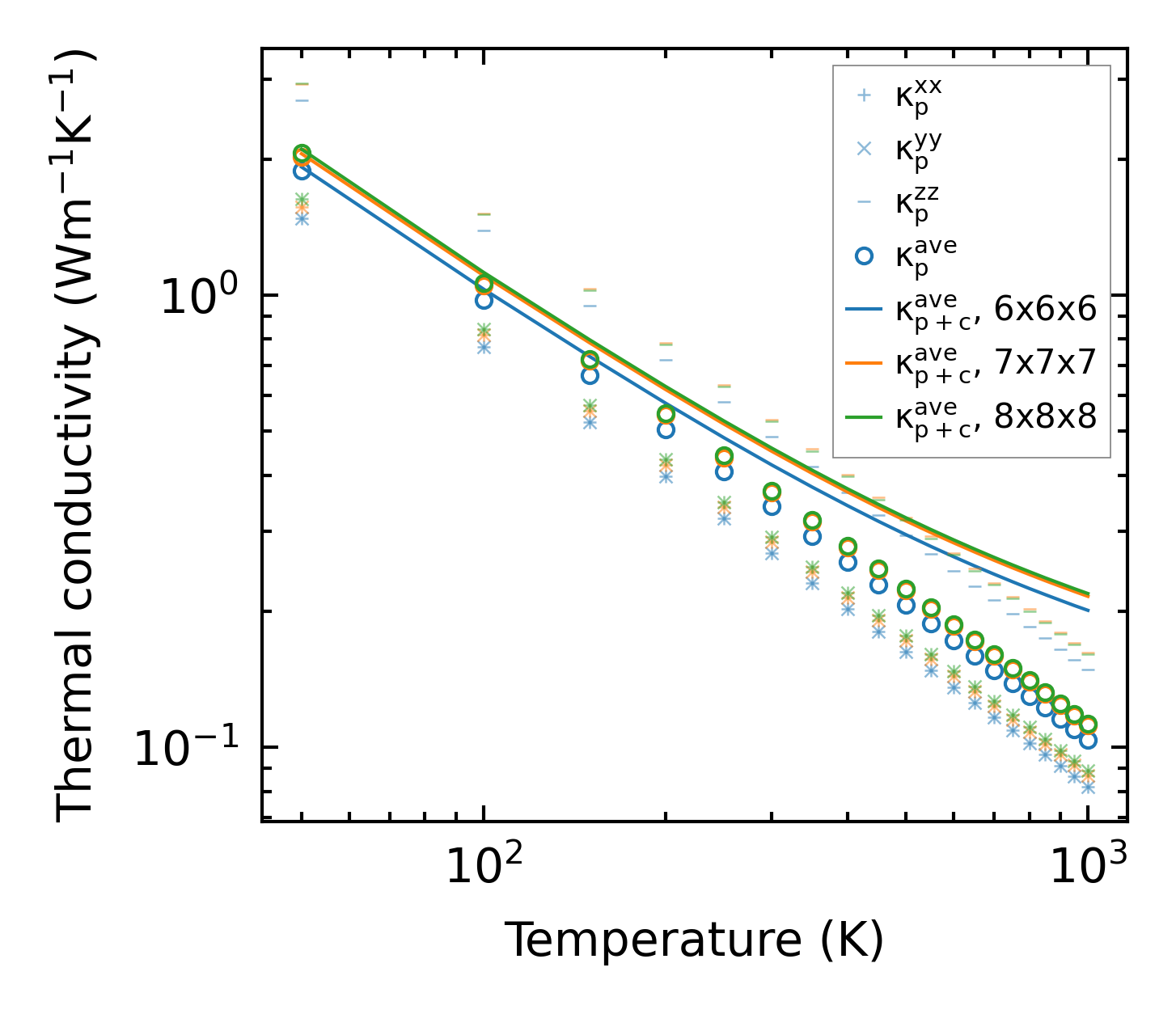
Thermal conductivity

3-phonon (LASSO) — q-mesh: 8x8x8, supercell: 2x2x1

../../_images/fig_kappa11735.png

(a) Temperature-dependent lattice thermal conductivity

../../_images/fig_kappa_vs_grain_size6315.png

(b) Peierls lattice thermal conductivity w.r.t grain size

Phonon lifetime and scattering rates

../../_images/fig_lifetime6176.png

(a) Phonon lifetime due to phonon-phonon scattering

../../_images/fig_scat_rates6175.png

(b) Phonon scattering rates

Cumulative and spectral thermal conductivity

../../_images/fig_cumu_frequency6176.png

(a) Spectral and cumulative thermal conductivity w.r.t frequency

../../_images/fig_cumu_mfp6175.png

(b) Spectral and cumulative thermal conductivity w.r.t MFP

Force constants

../../_images/fig_fc214194.png

(a) Force constants w.r.t atomic distance

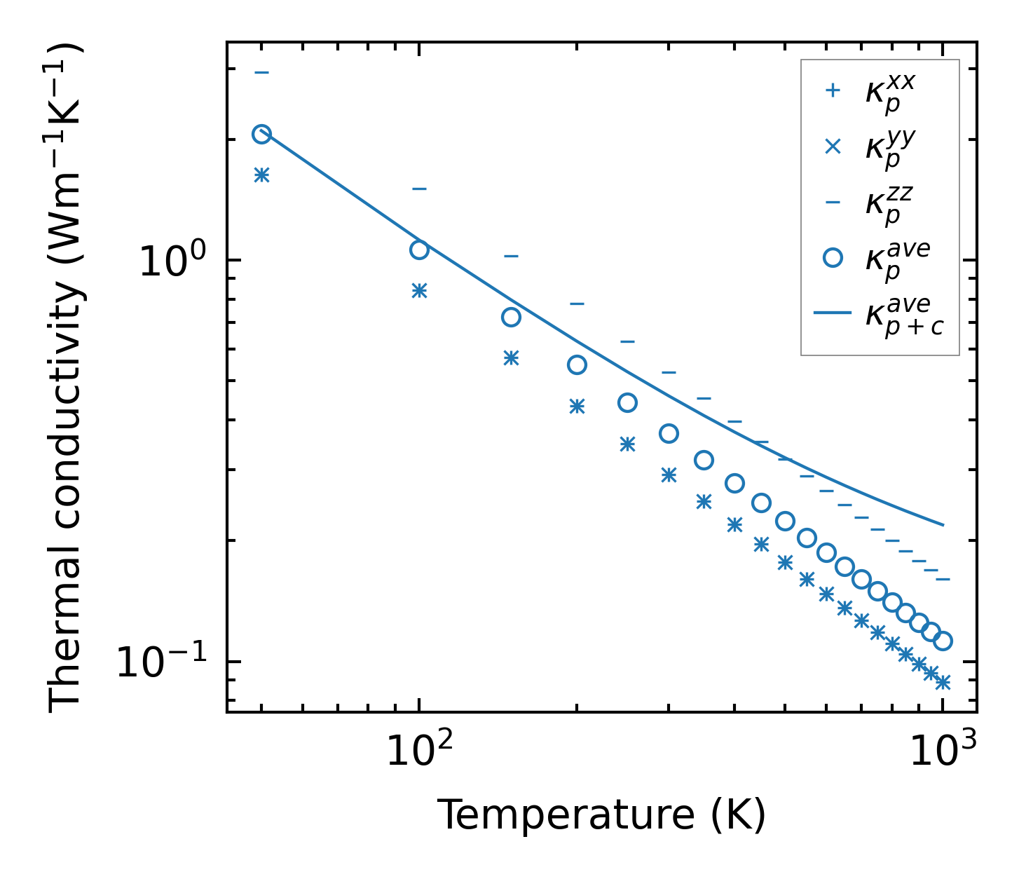
Summary

../../_images/fig_kappa11736.png

(a) Temperature-dependent lattice thermal conductivity

../../_images/fig_times24252.png

(b) Computation time