mp-1403065/TiZnF6/anharm

Harmonic properties

../../_images/fig_bandos_pr14570.png

(a) Phonon dispersion with participation ratio and DOS

../../_images/fig_thermo14570.png

(b) Thermodynamic properties

Grüneisen parameters

../../_images/fig_gru_all6237.png

(a) Grüneisen parameters

../../_images/fig_gruneisen6237.png

(b) Phonon dispersion with Grüneisen parameters

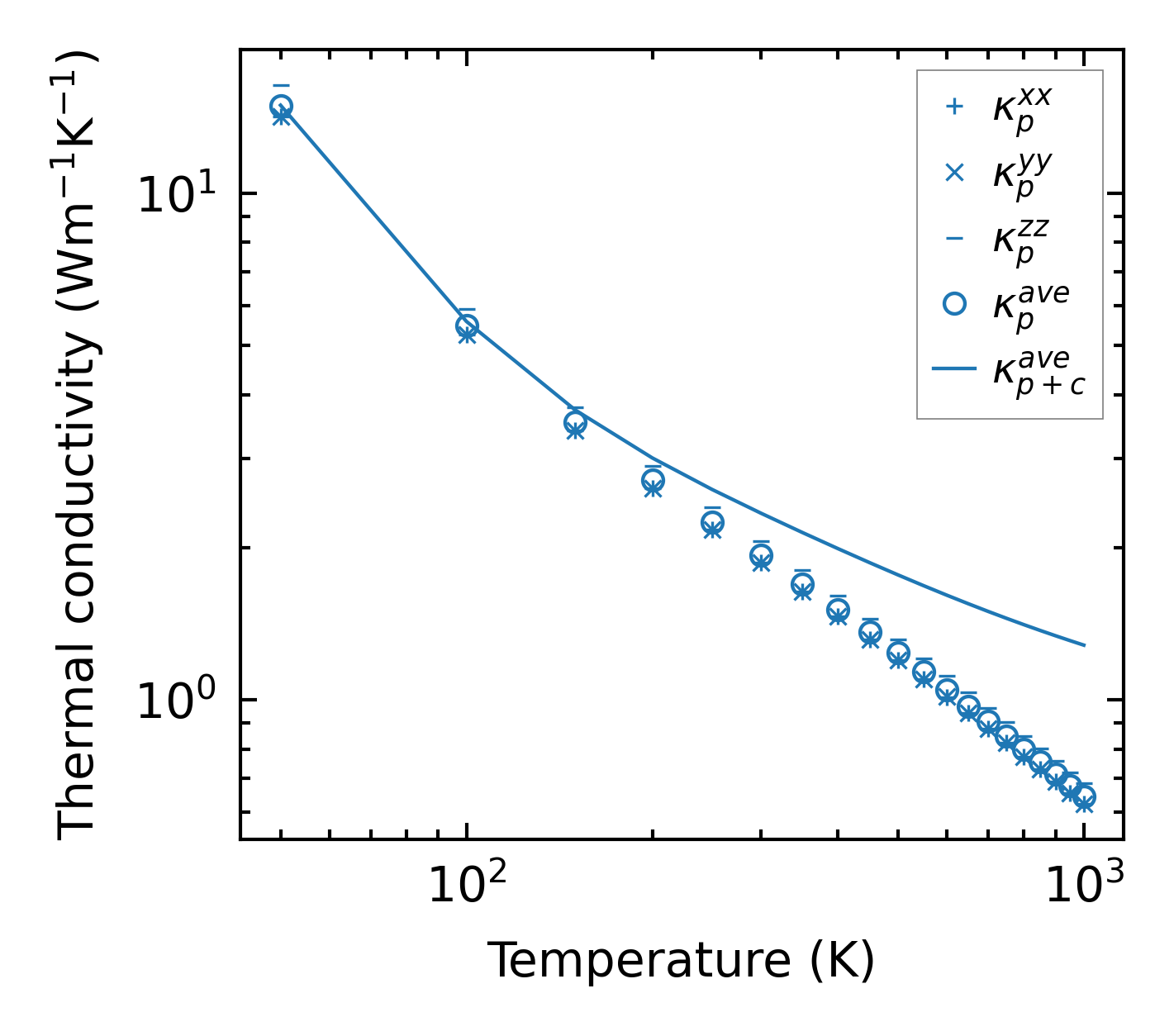
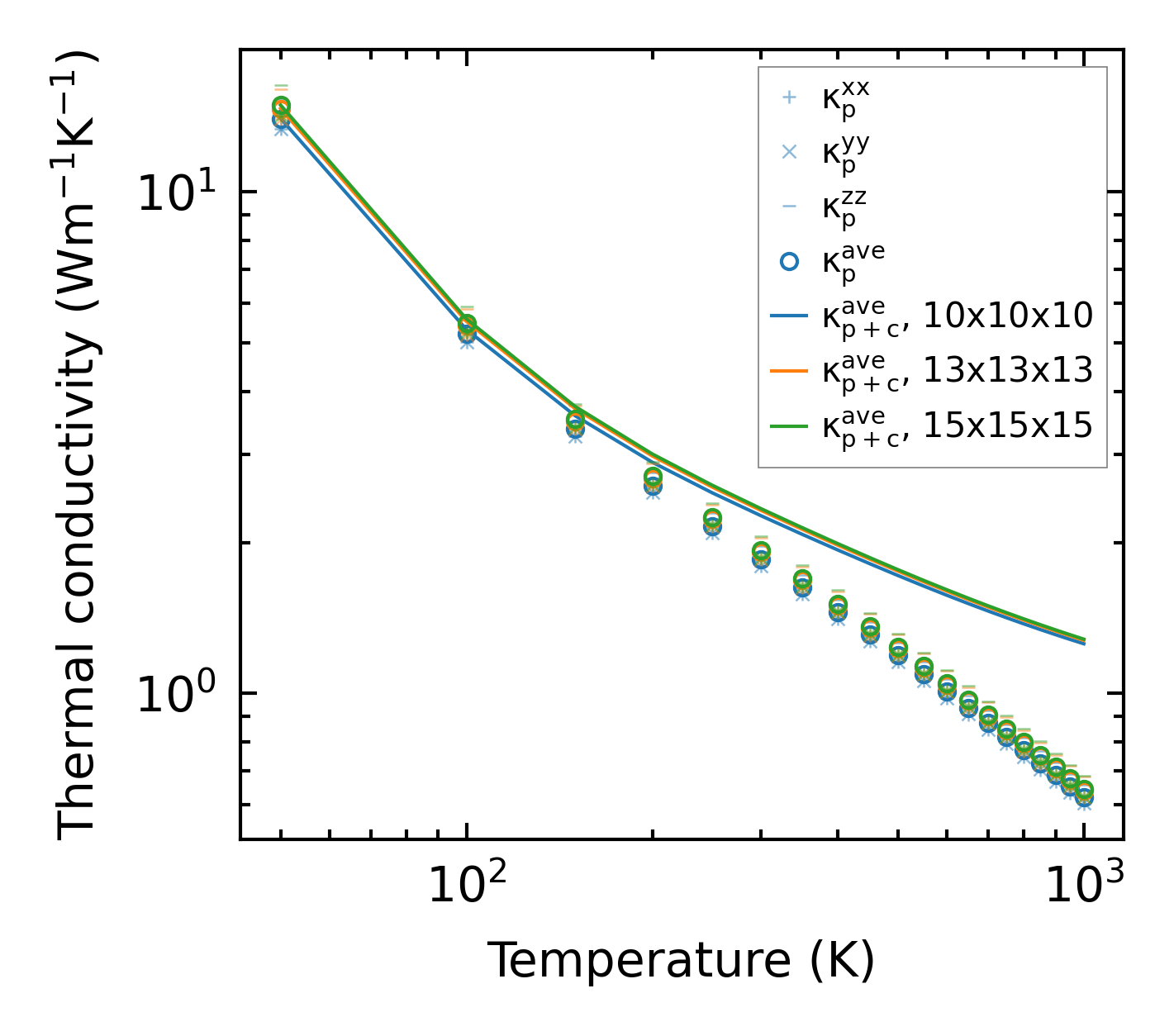
Thermal conductivity

3-phonon (LASSO) — q-mesh: 15x15x15, supercell: 2x2x1

../../_images/fig_kappa11733.png

(a) Temperature-dependent lattice thermal conductivity

../../_images/fig_kappa_vs_grain_size6314.png

(b) Peierls lattice thermal conductivity w.r.t grain size

Phonon lifetime and scattering rates

../../_images/fig_lifetime6175.png

(a) Phonon lifetime due to phonon-phonon scattering

../../_images/fig_scat_rates6174.png

(b) Phonon scattering rates

Cumulative and spectral thermal conductivity

../../_images/fig_cumu_frequency6175.png

(a) Spectral and cumulative thermal conductivity w.r.t frequency

../../_images/fig_cumu_mfp6174.png

(b) Spectral and cumulative thermal conductivity w.r.t MFP

Force constants

../../_images/fig_fc214189.png

(a) Force constants w.r.t atomic distance

Summary

../../_images/fig_kappa11734.png

(a) Temperature-dependent lattice thermal conductivity

../../_images/fig_times24239.png

(b) Computation time