mp-1390618/SnO2/anharm

Harmonic properties

../../_images/fig_bandos_pr14653.png

(a) Phonon dispersion with participation ratio and DOS

../../_images/fig_thermo14653.png

(b) Thermodynamic properties

Grüneisen parameters

../../_images/fig_gru_all6270.png

(a) Grüneisen parameters

../../_images/fig_gruneisen6270.png

(b) Phonon dispersion with Grüneisen parameters

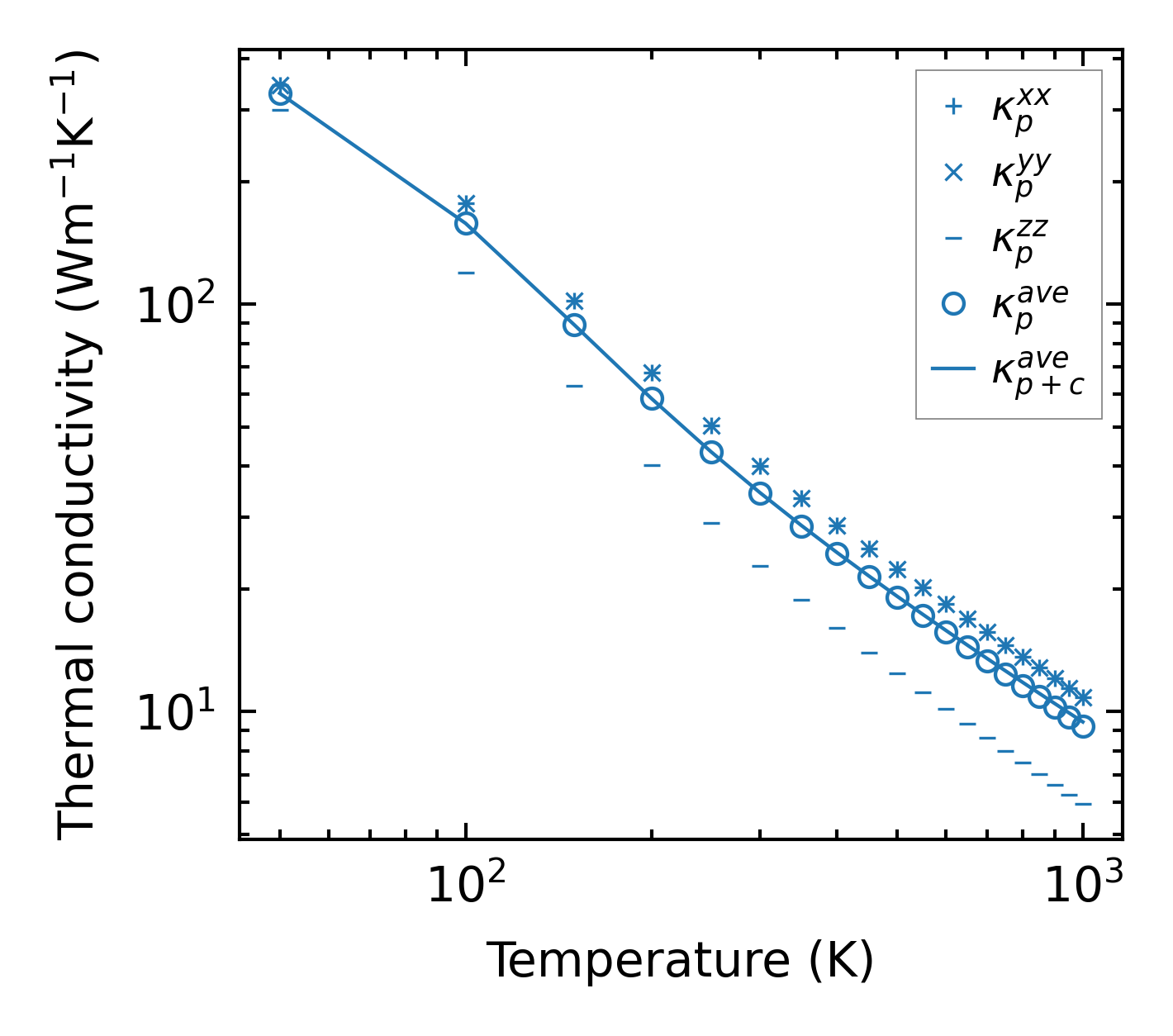
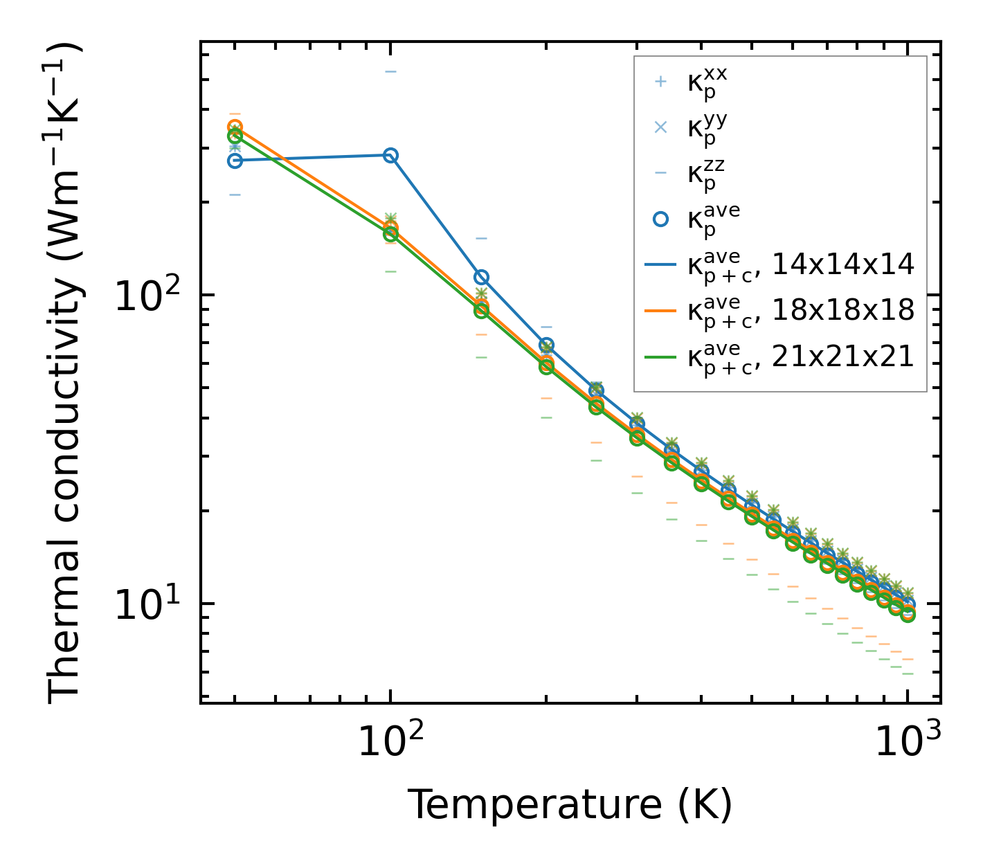
Thermal conductivity

3-phonon (LASSO) — q-mesh: 21x21x21, supercell: 4x4x1

../../_images/fig_kappa11794.png

(a) Temperature-dependent lattice thermal conductivity

../../_images/fig_kappa_vs_grain_size6347.png

(b) Peierls lattice thermal conductivity w.r.t grain size

Phonon lifetime and scattering rates

../../_images/fig_lifetime6208.png

(a) Phonon lifetime due to phonon-phonon scattering

../../_images/fig_scat_rates6207.png

(b) Phonon scattering rates

Cumulative and spectral thermal conductivity

../../_images/fig_cumu_frequency6208.png

(a) Spectral and cumulative thermal conductivity w.r.t frequency

../../_images/fig_cumu_mfp6207.png

(b) Spectral and cumulative thermal conductivity w.r.t MFP

Force constants

../../_images/fig_fc214272.png

(a) Force constants w.r.t atomic distance

Summary

../../_images/fig_kappa11795.png

(a) Temperature-dependent lattice thermal conductivity

../../_images/fig_times24370.png

(b) Computation time