mp-1238775/NaBC/anharm

Harmonic properties

../../_images/fig_bandos_pr15161.png

(a) Phonon dispersion with participation ratio and DOS

../../_images/fig_thermo15160.png

(b) Thermodynamic properties

Grüneisen parameters

../../_images/fig_gru_all6507.png

(a) Grüneisen parameters

../../_images/fig_gruneisen6507.png

(b) Phonon dispersion with Grüneisen parameters

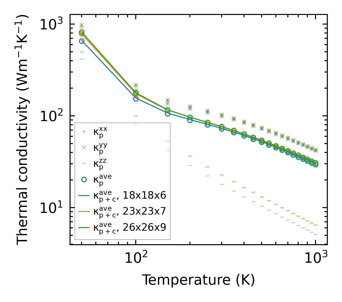
Thermal conductivity

3-phonon (LASSO) — q-mesh: 26x26x9, supercell: 3x3x2

../../_images/fig_kappa12244.png

(a) Temperature-dependent lattice thermal conductivity

../../_images/fig_kappa_vs_grain_size6584.png

(b) Peierls lattice thermal conductivity w.r.t grain size

Phonon lifetime and scattering rates

../../_images/fig_lifetime6441.png

(a) Phonon lifetime due to phonon-phonon scattering

../../_images/fig_scat_rates6440.png

(b) Phonon scattering rates

Cumulative and spectral thermal conductivity

../../_images/fig_cumu_frequency6441.png

(a) Spectral and cumulative thermal conductivity w.r.t frequency

../../_images/fig_cumu_mfp6440.png

(b) Spectral and cumulative thermal conductivity w.r.t MFP

Force constants

../../_images/fig_fc214776.png

(a) Force constants w.r.t atomic distance

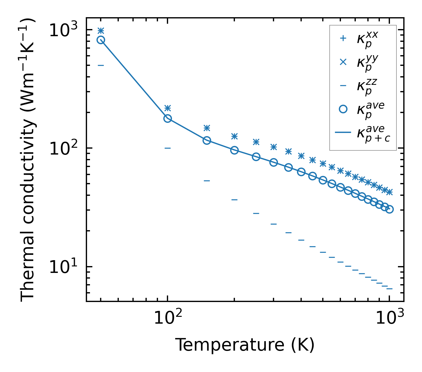
Summary

../../_images/fig_kappa12245.png

(a) Temperature-dependent lattice thermal conductivity

../../_images/fig_times25100.png

(b) Computation time