mp-1224007/K2NaMoO3F3/harm

Harmonic properties

../../_images/fig_bandos_pr15047.png

(a) Phonon dispersion with participation ratio and DOS

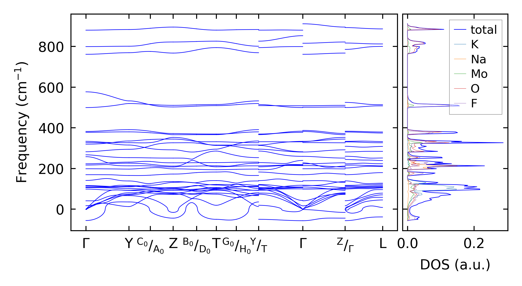
../../_images/fig_bandos19396.png

(b) Phonon dispersion and DOS

../../_images/fig_thermo15046.png

(c) Thermodynamic properties

Force constants

../../_images/fig_fc214663.png

(a) Force constants w.r.t atomic distance

Summary

../../_images/fig_times24901.png

(a) Computation time